Curiosii for ever!
: Car repair manuals for everyone.
Home
>>
Volvo
>>
2012
>>
XC70 AWD L6-3.2L VIN 94 B6324S4
>>
Repair and Diagnosis
>>
Specifications
>>
Capacity Specifications
>>
Engine
>>
System Specifications
>>
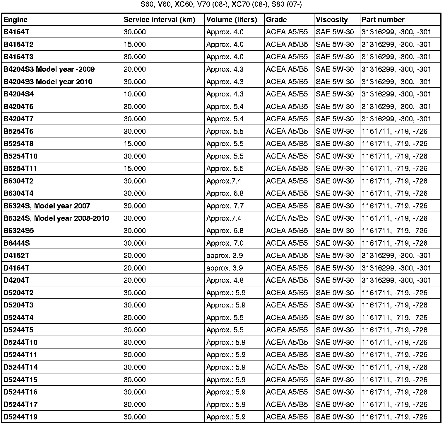
Lubricants, Engine
Lubricants, Engine
Lubricants, engine
EU
USA and CDN
Rest of the world
Oil grade
ACEA A3/B3/B4
can be replaced with
ACEA A5/B5
, not the other way around.