Curiosii for ever!: Car repair manuals for everyone.

MPS6






Function

Regulating the solenoids when gearshifting
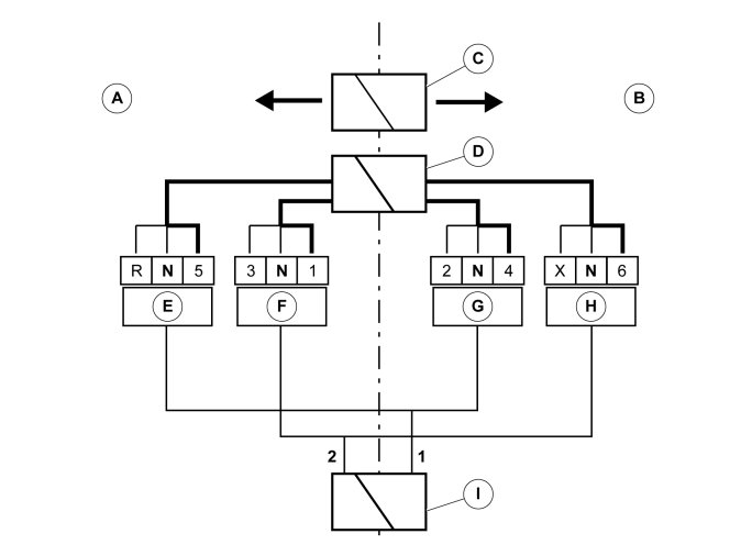
A major difference from conventional automatic transmissions is that Powershift does not have converter/torque converter. There are two gearshifting shafts, one input shaft for uneven gears and an input shaft for even gears. Each gear shaft has a clutch, see figure below.




A = Uneven clutch
B = Even clutch
With this design, the transmission can prepare a gear while another one is engaged, it is said that the transmission has an active and a passive gear.
The gearshifting function in Powershift can be divided into a clutch system and a gearshifting system, with both interacting during shifting and are part of the same hydraulic system. Through signals from pressure sensors and position sensors, the Transmission control module (TCM) controls solenoids so that correct clutch pressure and shifting pressure is deployed.
During both clutch and shifting the pressure is determined by linear solenoids CSPS1 and CSPS2. Hydraulic pressure to clutch or shifting is controlled by solenoids CSMS1 and CSMS2 affecting valves CSM1 and CSM2.
Two of the solenoids (SHSS1, SHSS2) are only used for the gearshifting system. The other 7 solenoids as well as the valve CPCUT control pressure and valves during clutch and shifting.
Solenoids that relate to shifting work together through an advanced hydraulic system which simplified can be described as follows:
- Solenoid CSMS1 controls if uneven (1, 3, 5, R) or even gears (2, 4, 6) shall be used by acting on the OEC-valve (OEC = Odd Even Control). The OEC-valve is located in the Mecatronic unit. Unaffected the OEC-valves leads pressure out to even gears but can when affected by CSMS1 lead the pressure to uneven gears. (CSMS2 only controls if the pressure shall be lead to clutch or shifting for even shifting).
- Solenoids SHSS1 and SHSS2 control which of the gearshift forks shall be activated. Gearshift fork 1 and 2 control uneven gears and gearshift fork 3 and 4 control even gears. SHSS1 and SHSS2 can control so that either gearshift fork 1 (R, N, 5) and gearshift fork 3 (2, N, 4), is activated or gearshift fork 2 (3, N, 1) and gearshift fork 4 (N, 6).
- Solenoid SHCMS controls which position the activated gearshift fork shall have, that is, which gear on respective gearshift fork shall be activated (e.g., if gear R, N, or 5 shall be activated for gearshift fork 1).
This can be shown by the following figure:









This gives the following gearshift pattern:





X = Linear solenoids do not have On and Off. Therefore, a high signal is given when they are activated and affect shifting, and an X when its status is not relevant for shifting.

Gearshift program
Normal program
When driving with normal throttle application, the Transmission control module (TCM) uses a pre-set shifting program, optimized to shift for economic driving.
The shifting program adapts automatically to different driving conditions, e.g., driving on a grade with a trailer or driving at high altitude. Also, the transmission's oil pressure is adapted to give smooth engagement of gears.

Other modes
Adaptation
Transmission control module (TCM) monitors every shift to give consequent and smooth shifts under all driving conditions. This is done by the control module either lowering or increasing the hydraulic system pressure that is used during actual shifting. The changed pressure levels are stored in the control module's memory when the vehicle is turned off, and are retrieved when the vehicle is started. This gives the transmission better shifting comfort and life. Before the components become too worn, an adaptation can also be used to compensate for wear of components in the transmission.
Powershift uses 4 different adaptations:
- Gear adaptation Condition, gear engaged and engine's static torque within +/-30 Nm.
- Adaptation of application pressure clutch. Condition, no gear engaged on corresponding joint, even or uneven, as well as clutch not in position torque transfer (torque control mode).
- Adaptation of preparation pressure clutch. Condition, clutch pressure not above application pressure.
- Adaptation of clutch torque. Condition, temperature of hydraulic oil (value from sensor in oil sump) and clutch surface within specified interval, clutch in torque control mode and clutch torque within specified interval.
Driving uphill
The Transmission Control Module (TCM) can change the gearshift pattern slightly when driving uphill. This is to avoid close gearshifts.
Neutral control
This is a function that is activated when the driver stops and the vehicle is stationary, e.g., at a red light. Transmission control module (TCM) disengages the clutches, which means that the transmission's forward drive is reduced, as well as the engine load.
The function reduces both fuel consumption and vibrations. When the driver releases the brake, the clutch torque increases on the clutch for which the gear is engaged, and drive increases.
The following conditions must be met in order for the neutral function to activate:
- gear lever in D or R.
- throttle position 0%
- brake pedal pressed down.
- speed 0 km/h.
Hot mode
When driving for a long time with high load, e.g., slow driving on steep grades or with a trailer, the transmission and clutch work hard, which leads to increasing temperature in the transmission oil and clutch. A function called Hot mode is used to prevent damaging the transmission due to too high temperature in the oil and in the clutch.
The function is controlled by Transmission control module (TCM) that, through different steps, tries to prevent the temperature from becoming too high:
- The flow in the transmission increases by increased idle rpm for better cooling. Gearshifts are made harsher to reduce heat generation in the transmission.
- A message is sent to the Driver information module (DIM) to brake to relieve the clutches.
- The clutch starts to oscillate to warn the driver before the clutches open.
- The clutches open.
Alternative driving programs
There are driving programs that are implemented in the transmission but that only are active on certain variants.
Kick-down
When the accelerator pedal is pressed down past a certain point, the Kickdown function is activated. This means that downshifting takes place to get faster acceleration. The pedal position for Kickdown is designated as 110%.
Quick step
Quick step makes the gearshifting function sportier when the driver is more aggressive on the pedal. Lower gears are used for better acceleration.
Fast Off
Fast Off is used to reduce the number of shifts due to heavy traffic in, e.g., city traffic.
The function is activated at fast releases of the accelerator pedal. Even the vehicle's speed, brake pedal, and curve detection affect its function. By keeping a lower gear than normally, unnecessary shifts are avoided. For aborted passing, a lower gear is maintained to be able to take the initiative for future passing.

Gearshifting with Geartronic




When the gear selector is moved to Geartronic-position (+/-), the automatic transmission is still hydraulically in position D. By moving the gear selector up (+) the Gear selector module (GSM) sends a signal to Transmission control module (TCM) to upshift.
If the gear selector is moved down (-) a signal is sent to Transmission control module (TCM) to downshift. The Driver information module (DIM), when gear selector is in manual shifting mode, switch symbol in the Driver information module (DIM) from D to current gear position, e.g., 3. A signal is also sent to Gear selector module (GSM) to light both LEDs for + and -, to and turn off the other LEDs.
Transmission control module (TCM) decides if shifting can be performed and Driver information module (DIM) indicates current gear. If shifting is allowed, the different solenoids are activated according to the specific pattern for each gear.
However, in certain situations the transmission control module (TCM) takes over responsibility for determining shifting. The follow applies:
- If the maximum engine rpm should be exceeded when downshifting, then Transmission control module (TCM) prevents a downshift.
- Start from a standstill can take place in 1st or 2nd gear in Geartronic-mode. 3rd gear can be selected at speeds above25 km/h, 4th gear at speeds above 40 km/h, 5th gear at speeds above 50 km/h, as well as 6th gear at speeds above 60 km/h.
- Change between automatic and manual can be performed in both directions under all driving conditions.
- Automatic upshifting takes place at maximum rpm and at kickdown.
- Automatic downshifts take place in all gears when driving slower than a certain speed and at kickdown. Example: 2nd gear is selected. Automatic downshifting takes place from 2nd gear to 1st at 2 km/h if the speed before that has been above 20 km/h. Otherwise 2nd gear remains. E.g., situations may arise where 3rd gear still is engaged even when the vehicle has been stopped.
- After automatic downshifting, manual upshifting is required except when kickdown is used and the pedal position remains in kickdown position.
- Allowed rpms for manual downshifts match those for kickdown upshifts, that is, maximum engine rpm.
- If the transmission's temperature should become too high, then Transmission control module (TCM) assumes the decisions about gearshifting.
Miscellaneous
In mode M, a signal is generated on the position of the gear selector lever for the Gear Selector Module (GSM) in the following way: there is a Hall sensor fitted on the printed circuit board for the Gear Selector Module (GSM) for each one of the three gear selector lever positions. A permanent magnet on the gear selector lever acts on the sensors' output signals to the control module. The control module can read off the position of the gear selector lever by means of the differences in signal character.

Shift-lock





Shiftlock
To prevent the gear selector from accidentally being moved from P- or N-position, the vehicle also features an electrically operated lockout function (shiftlock). The shiftlock function unlocks the gear selector's lock in P-position and locks the shiftlock in N-position. In this way the gear selector is passively locked in P-position (inactive solenoid) and actively locked in N-position (active solenoid).

From P position to another gear position
In order to shift the gear selector from the P position to another gear position the ignition must be on and the brake pedal depressed (stop lamp switch activated). The transmission control module (TCM) retrieves the brake pedal position via the CAN network and the currently selected gear from the internal gear-shift position sensor. The signal is then transmitted from the transmission control module (TCM) to the gear selector module (GSM) to control the solenoid (electro magnet) in the gear selector assembly.
With the gear selector in position P, the solenoid is activated and the unlocks the gear selector's shiftlock, whereafter it is possible to press in the shiftlock key in the normal way to select another gear.
In the lever carrier there is the Gear Selector Module (GSM) with Hall sensor, which is affected by a permanent magnet. When the gear selector is moved from position P, the Hall sensor is deactivated at the same time as the shiftlock solenoid is deactivated. This is to prevent the gear selector from jamming in position N.
When the ignition position is "I" or "0", then the solenoid is deactivated. When the gear selector is in position P it is mechanically locked since the solenoid is not supplied with voltage.

From N position to another gear position
In order to shift the gear selector from the N position to another gear position the ignition must be on and the brake pedal depressed (stop lamp switch activated). The transmission control module (TCM) retrieves the brake pedal position via the CAN network and the currently selected gear from the internal gear-shift position sensor. The signal is then transmitted from the transmission control module (TCM) to the gear selector module (GSM) to control the solenoid (electro magnet) in the gear selector assembly.
With the gear selector in N, the solenoid is deactivated and unlocks the gear selector's interlock. One can then press the release button in the gear selector lever to engage D or M. The release button on the gear selector lever must be pressed to select R or P. The solenoid is deactivated when the ignition switch is in position "I" or "0".

Shiftlock override
In order to maneuver the gear selector assembly from P mode when its power is cut off or if there is an electrical fault, the lock mechanism in the gear selector assembly can be mechanically overridden. Under a cover on the gear selector assembly panel, a narrow tool can be inserted to release the gear selector.
The Transmission Control Module (TCM) has also an automatic shiftlock override function in order to control the gear selector to the locked P mode and from locked N mode in the event of an electrical fault.

Park / neutral position (PNP) function
The car has a park/neutral position (PNP) function to prevent the starter motor from turning when a gear is selected. This function is controlled by the transmission control module (TCM), which receives a signal from the gear selector module (GSM) indicating that the gear selector is in position P or N. The park / neutral position (PNP) function ensures that the starter motor can only be activated when the gear selector is in position P or N.

Emergency mode in the event of a fault
When Transmission control module (TCM) registers transmission malfunction in the form of generated diagnostic trouble codes, the Transmission control module (TCM) makes use of malfunction reactions.
Depending on degree of the malfunction's seriousness, the Transmission control module (TCM) turns off different functions. For example, half of the transmission may be shut down so that only uneven gears can be used. In a worst case scenario, the engine stops as well or the vehicle cannot be started.
The warning light in the Driver information module (DIM) lights up, and a text message is displayed in the Driver information module (DIM) if emergency/limp-home mode has engaged. No text is displayed when the ignition is on until the malfunction has been detected.
In case of malfunction, the Transmission control module (TCM) can also activate one or several malfunctions reactions. The actions are taken to protect the transmission, at the same time as maximal functionality is retained.