Curiosii for ever!: Car repair manuals for everyone.

Starting System - No Crank/No Start Diag. Information

TIE - Technical Journal

Title Advised fault tracing for No Crank / No Start

Ref No US16335.1.1 en-GB

Issuer -

Partner 3 US7510 Volvo Cars North America

Func Group 3007

Func Desc

Status Released

Status Date 2007-06-15





Attachment





Vehicle Type





CSC





DTC

Text
DESCRIPTION:

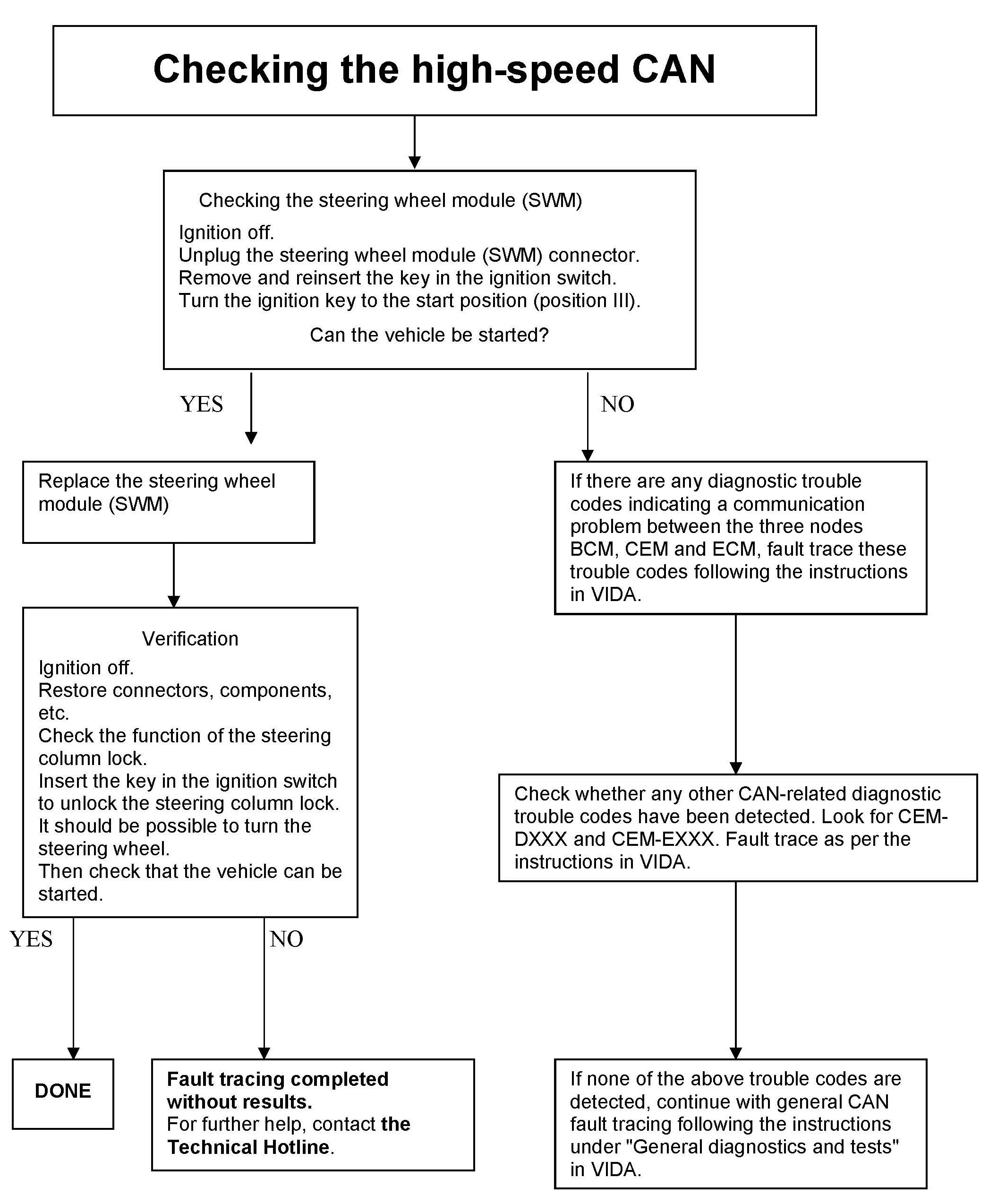
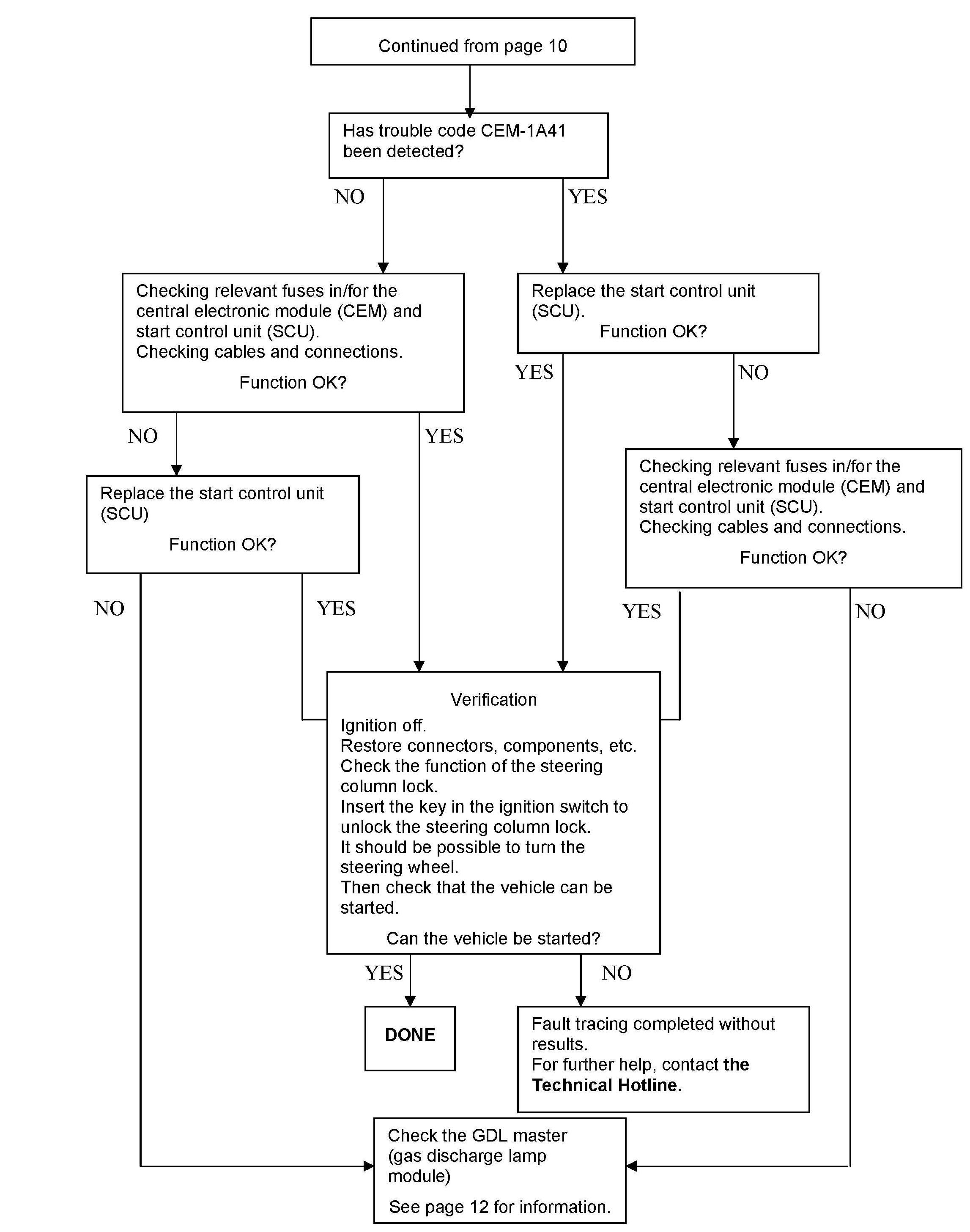
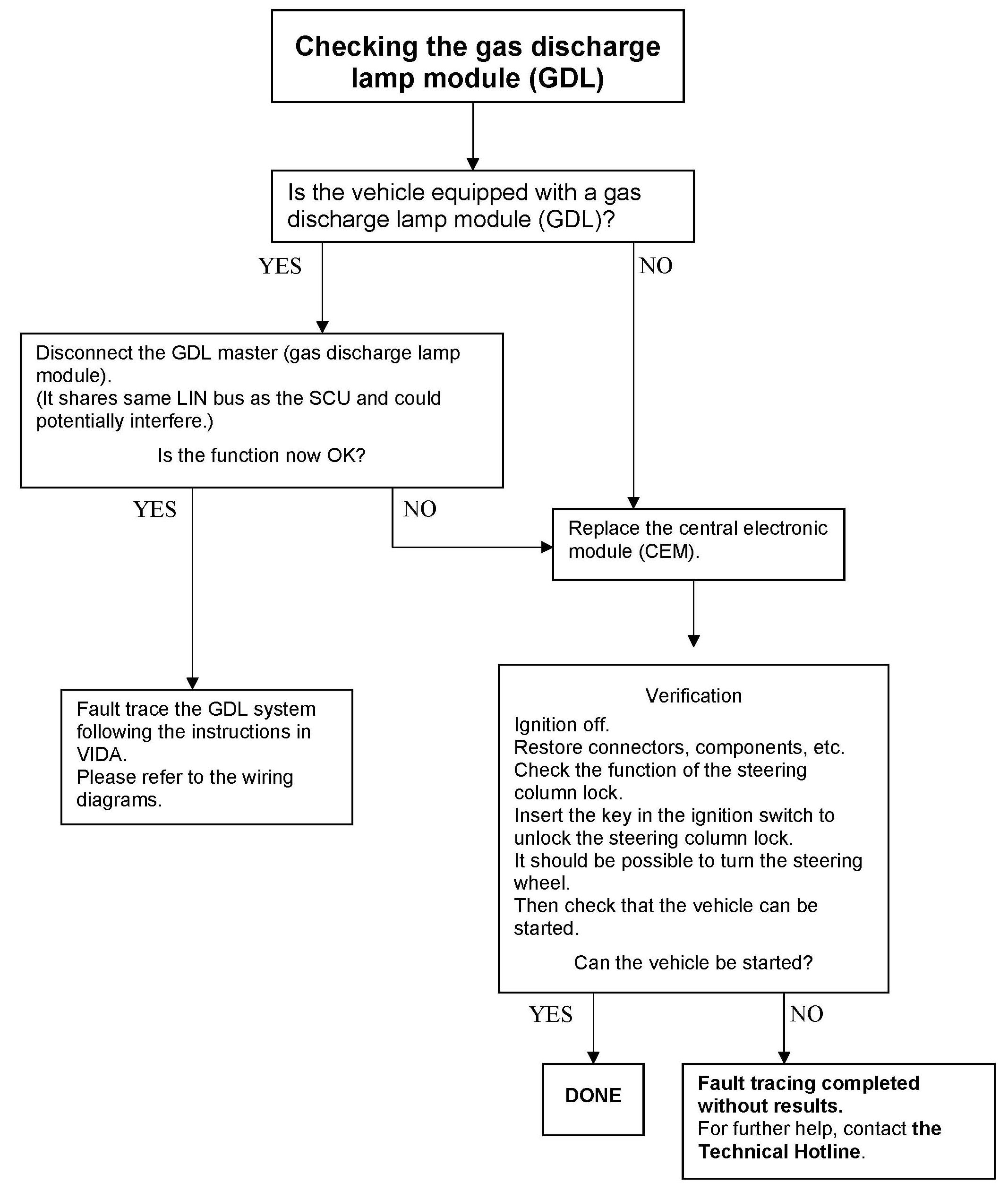
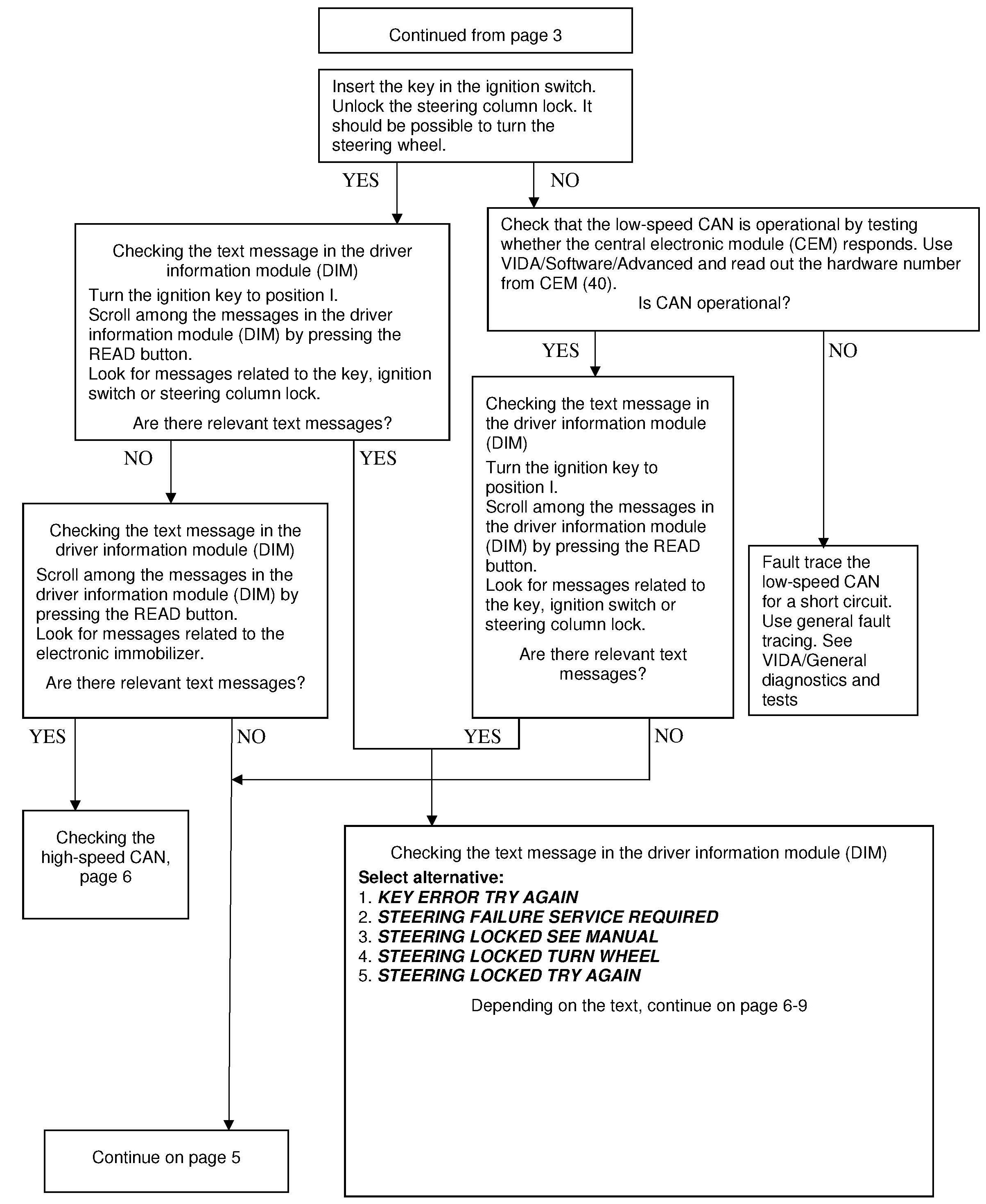
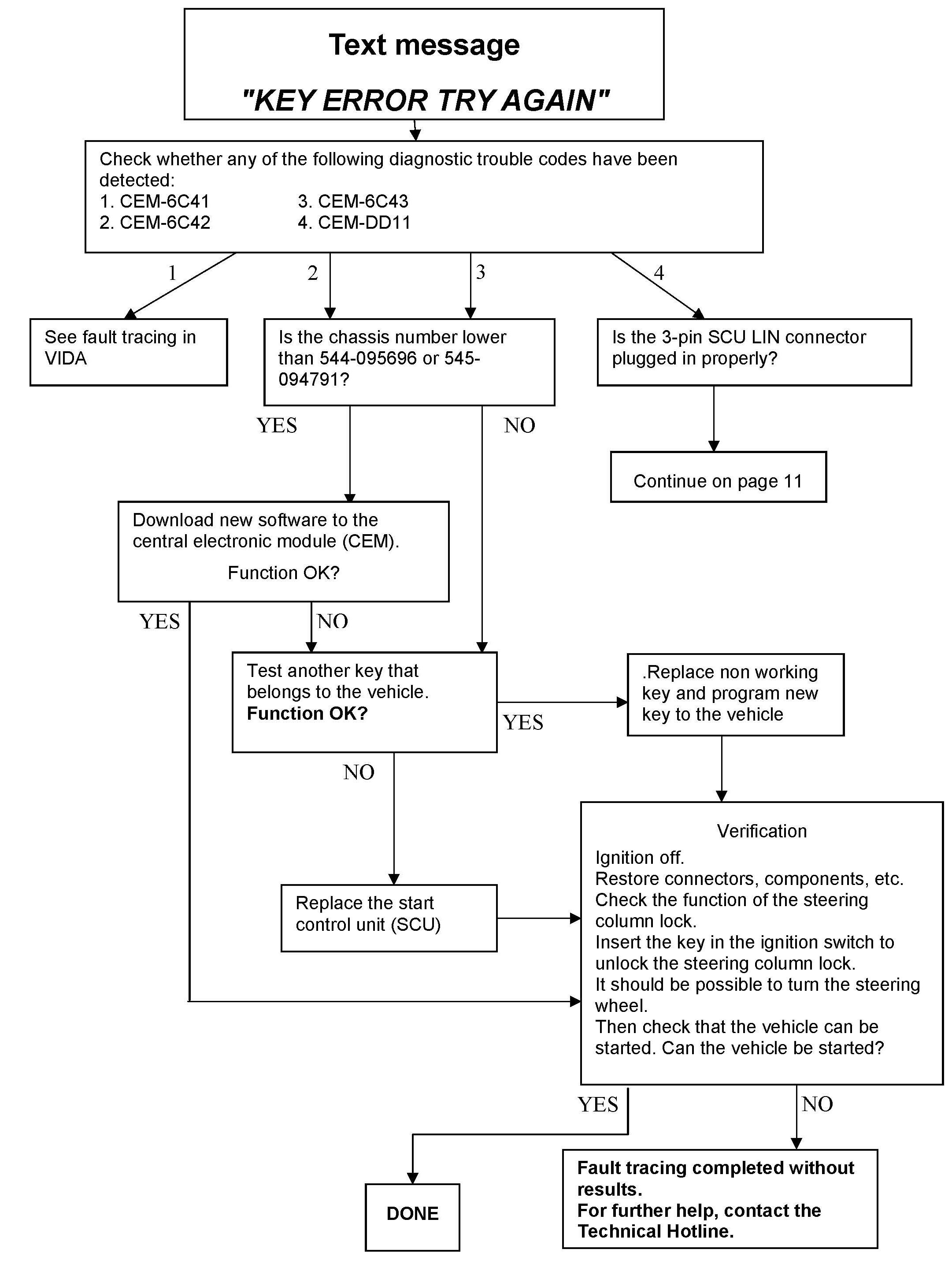
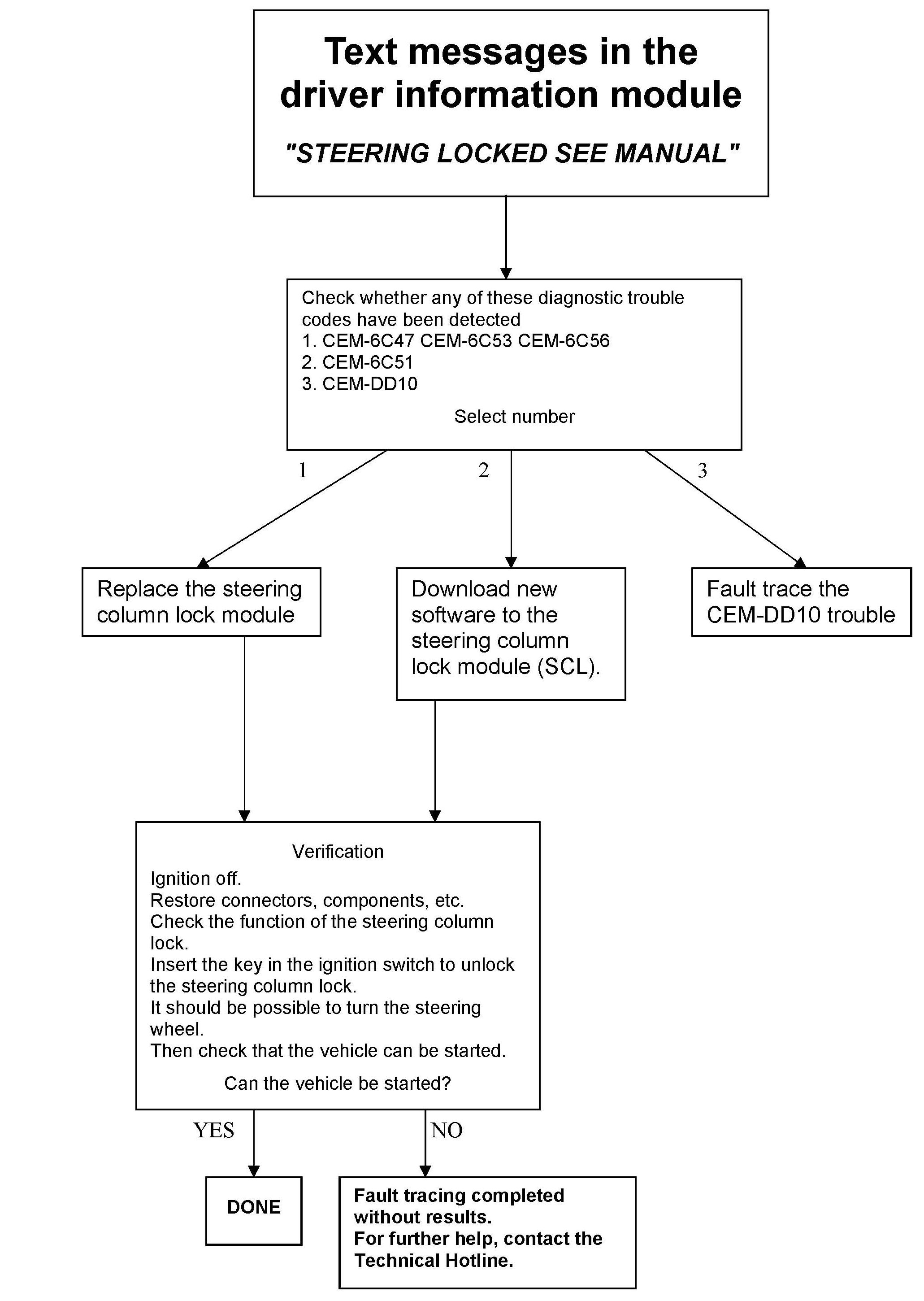
The start validation on S401V50 cars is complex and this TNN has been created to assist in fault tracing the system. These fault tracing flowcharts should be used in case of reported intermittent or permanent NO CRANK / NO START symptoms on 5401V50 and New C70 cars.

SERVICE:






































See attachment.