Curiosii for ever!: Car repair manuals for everyone.

Antitheft System - No Crank/No Start Condition

NO: 30-07
DATE: August 11, 2006
MODEL: New C70 (542), New S40 (544), V50 (545)
M. YEAR: 2004 -
SUBJECT: Advised fault tracing for No Crank / No Start
REFERENCE: VIDA fault tracing information/ relevant wiring diagrams
































DESCRIPTION:
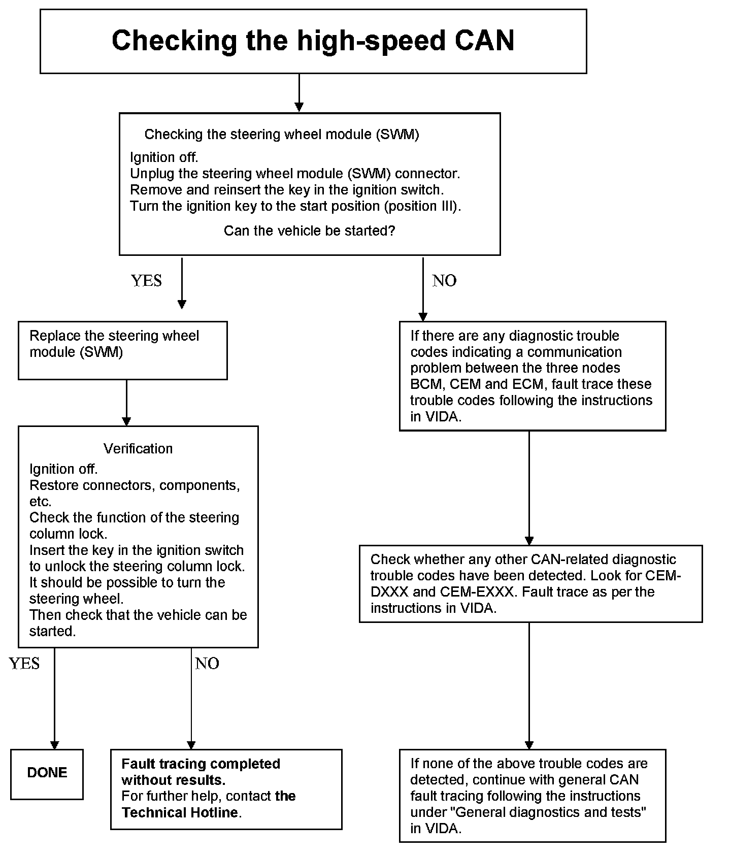
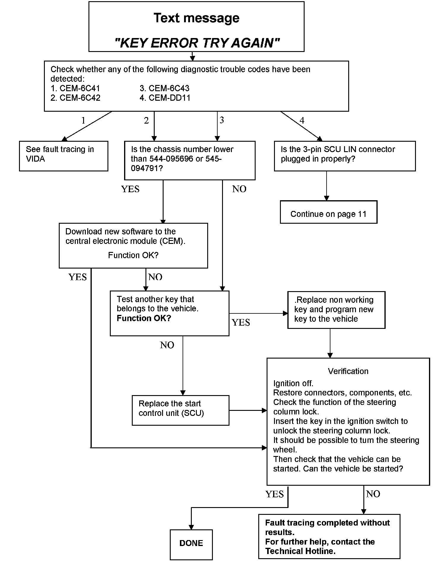
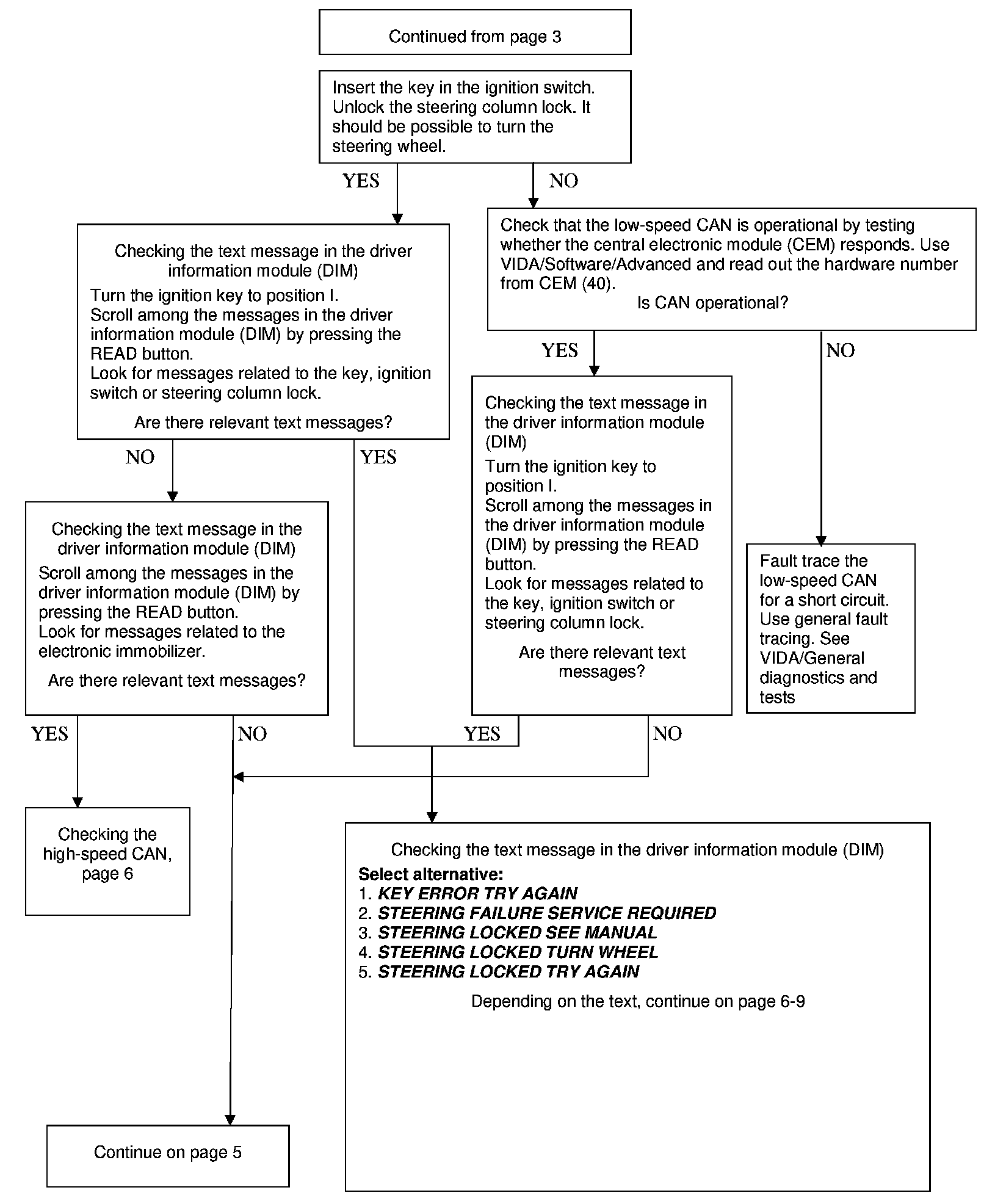
The start validation on 540N50 cars is complex and this TNN has been created to assist in fault tracing the system. These fault tracing flowcharts should be used in case of reported intermittent or permanent NO CRANK / NO START symptoms on 540N50 and New C70 cars.

NOTE:
There are normal behaviors of the immobilizer system that should be considered before fault tracing or making repairs. Replacing parts will not improve the 3 characteristics listed below

^ Inserting key and turning key to crank very quickly may not provide enough time for CEM (Central Electrical Module) to receive Immobilizer request from the ECM (Engine Control Module).

^ IMMO (immobilizer) "time-out" can occur if the key is left in position 2 for 30-40 seconds and then slowly turning ignition to "crank" This can display the message "Immobilizer- See manual" in DIM (Driver Information Module).

^ Interference from other keys containing transponders left on the customer's key ring can disturb transponder readings. Remove additional keys.

In all of these cases turning the key back to position 0 and restarting will result in normal start.

SERVICE:

If an intermittent or permanent NO CRANK / NO START condition exists, use the fault tracing method. ALWAYS START AT THE FIRST PAGE OF THE FLOWCHART.

Please document fault tracing results, DTCs and text messages on the repair order.

Analyses of no crank / no start cases, has learned that in some cases SCU (Start Control Unit) related concerns can be responsible for the condition:

1. +50 contact inside SCU sticking / not switching

2. Contact for solenoid activation sticking / not possible to remove the key

3. Key-in switch sticking / key removal and re-insertion not detected

4. Key transponder read problems / key validation not possible

5. Foreign debris in between contact points causing wrong key position.

Follow the advice below based on Symptoms.

NOTE:
Low voltage or dead battery may also cause some of these symptoms and this is not a fault of the SCU!

SYMPTOM 1.
No crank/No start, Key or Immobilizer DIM messages.
Use the No start fault tracing tree attached to this TNN. If the SCU is found to be faulty after following the fault tree, replace the SCU.

SYMPTOM 2.
Radio continues to play with key out, chime active with key out, cannot lock car with remote. (Key in switch faults and wrong interpreted key positions)
Use VIDA to read the Key in switch at Diagnostics / Vehicle Communication / CEM / Parameters / Immo / Key-In-switch. If the SCU is found to be faulty after reading out values with VIDA replace the SCU.

SYMPTOM 3.
Key sticks or will not come out of SCU

To release the key, SCU pin B7 must have 12 volts (30+) and SCU pin B8 must receive ground from CEM to activate internal solenoid in the SCU. The CEM sends the ground when "Park" gear position is received from TCM (Transmission Control Module) on CAN
(Controller Area Network)
If testing finds a faulty SCU, replace the SCU.





Warranty Claim Information