Curiosii for ever!: Car repair manuals for everyone.

Counter, General



Counter

General

For every diagnostic trouble code, the control module stores a number of counters. These counters count the number of driving cycles that have been performed in the control module with or without malfunctions, if the malfunction is detected or not. In control systems older than model year 1999, there may be control systems, depending on control system, without counters or with few counters. From model year 1999, there are systems with several counters. The following counters may appear:

- Counter 1
- Counter 2 *
- Counter 3
- Counter 4
- Counter 5**
- Counter 6
- Counter 7
- Counter 8

The text uses the term driving cycle, which may also be called Operation cycle.

* In principle, only systems with the diagnostic concept Generic Global Diagnostic (GGD).

** Only for emission-related systems.

When erasing diagnostic trouble codes, the diagnostic trouble code's counter is erased.

NOTE: status identifier, Counter and Frozen values are the most important factors to deciding the malfunction's nature, that is, to decide:

- when the malfunction was detected (frozen values, counters)
- what the driving conditions were at the time (frozen values)
- status for the test (self-diagnosis) (status identifier)
- how frequent the malfunction is (counter).

Counter Volvo Diagnostics II





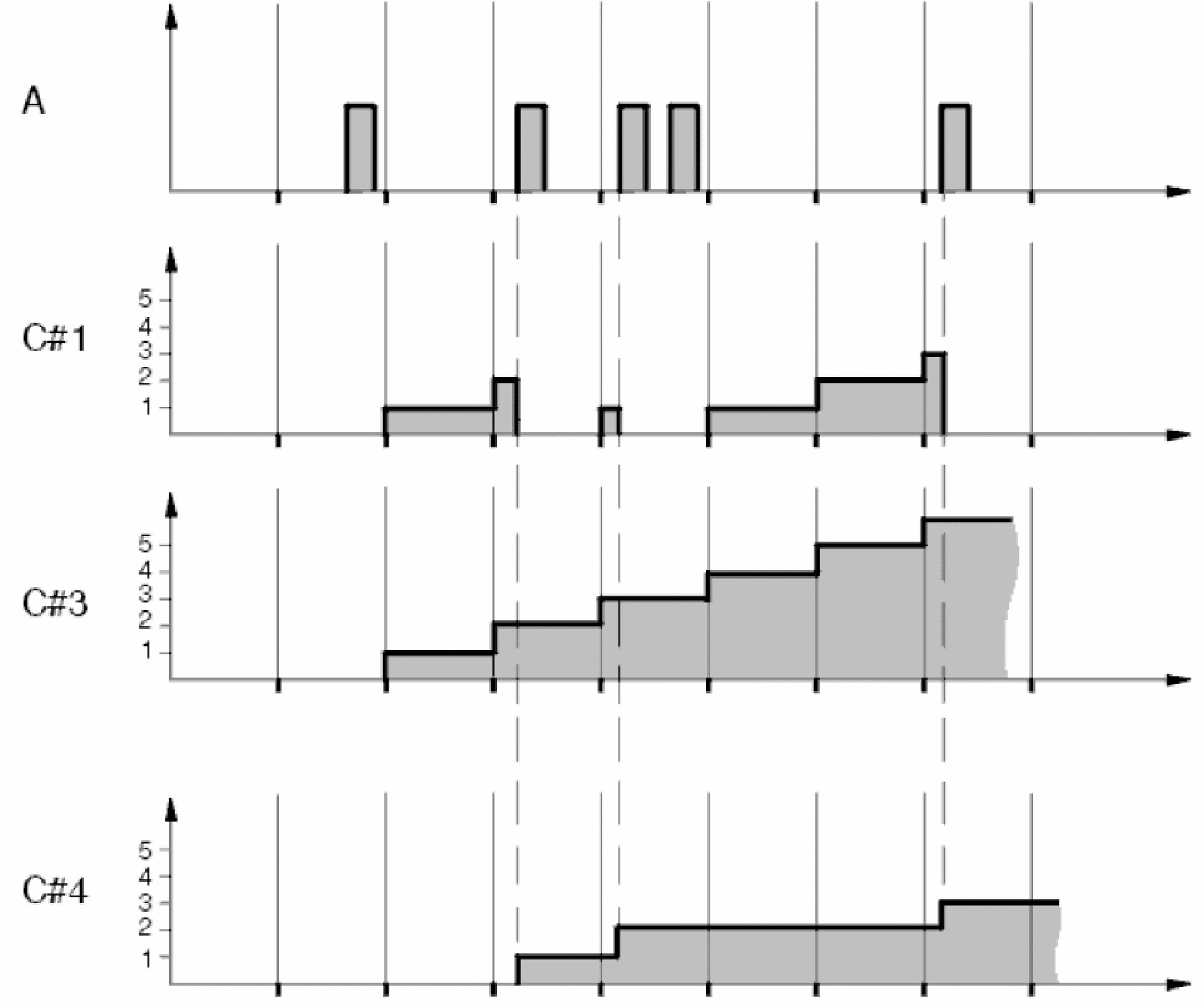
Graph A illustrates when in time that the malfunction occurs. In the illustration, the control module has detected a malfunction in the second driving cycle (graph's x-axis) and this malfunction then appears 4 more times, a total of 5 times. Counters can be read out for every diagnostic trouble code in the control module which have this introduced. Driving cycles are marked with vertical lines. A driving cycle often begins with ignition on and ends with ignition off.

Counter 1 (C#1). Counts number of cycles performed since the malfunction was confirmed last. As soon as a malfunction is detected and confirmed, the value is reset.
When the malfunction is both detected and disappears in the second driving cycle (graph A), counter 1 will count up to 1 first in the following (driving cycle driving cycle 3), that is, a driving cycle has been run through since the last time the malfunction was confirmed.
In driving cycle 4, the counter is updated again, now to value 2. Just after that, the malfunction is detected (graph A), the malfunction is confirmed and the counter's value is reset. This sequence is repeated once again in driving cycle 5.
With other words, one can say that if the value is zero, the malfunction exists now or has existed earlier in the current driving cycle. If the vehicle is restarted so that a new driving cycle is initiated (often requires ignition off and on again) in this position and the counter's value still is 0, then you probably have a permanent malfunction.
Values near zero indicate that the malfunction has been detected recently. It may also be that the malfunction exists but the diagnostic trouble code test has not started in these driving cycles, which means that the counter has not been reset. A high counter value indicates that the malfunction was last detected a number of driving cycles ago.

Counter 3 (C#3) (see graph). Counts the number of driving cycles performed since the malfunction was confirmed the first time. When a malfunction is confirmed the first time, the counter will count up by 1 for every subsequent driving cycle, regardless of if the malfunction is detected or not. Thus, the counter tracks the the number of driving cycles since the malfunction was detected the first time. See graph where the counter increases by 1 for every subsequent driving cycle and the value of the counter is finally 6.
A low value indicates that the malfunction was detected for the first time relatively recently. However, a high value indicates that a first detection was performed some time ago.

Counter 4 (C#4) (see graph). Counts the number of driving cycles in which the malfunction has been confirmed since it was confirmed the first time. The graph shows that after the malfunction was detected the first time, the malfunction has been detected in 3 driving cycles. Thus, after the malfunction was detected the first time, another 6 driving cycles (counter 3), have passed and in these the malfunction has been detected 3 times (counter 3). Simplified, one can say that in this example, the malfunction has occurred/been detected in every other driving cycle, and the malfunction can be assessed as relatively frequent.
A certain indication of a malfunction's intensity can be obtained if you compare the value for counter 4 with counter 3. The closer the value for counter 4 the value is to the value of counter 3, the more frequent the malfunction. If counters 3 and 4 have the same value, the malfunction has been detected in every driving cycle, which means that the malfunction is frequent.

Counter 5 (C#5). The counter sums up the time in seconds that the control module has been operating since the malfunction first was confirmed and the diagnostic trouble code was stored. The time that the control module has been operating is only counted when it is active, not in "sleep mode". The counter is not shown in the illustration.

Counter 6 (C#6). The counter sums up the time in seconds that the diagnostic trouble code test has been in progress since the malfunction first was confirmed and the diagnostic trouble code was stored. The counter is not shown in the illustration.

Counter 7 (C#7). The counter sums up the time in seconds that malfunction has been confirmed since it first was confirmed and the diagnostic trouble code was stored. The counter is not shown in the illustration.

Counter Generic Global Diagnostics (GGD)





Graph A. Diagnostic trouble code test active
Shows if the control module's diagnostic trouble code test is active or not. The blue surface indicates when the test is active. Not included as a status identifier.

Graph B. Malfunction active
Shows if the malfunction in the vehicle is active or not. The red surface indicates when the malfunction is present (active). Not included as a status identifier.
In the illustration, the control module has detected a malfunction in the second driving cycle, and this malfunction occurs a total of 4 times. Counters can be read out for every diagnostic trouble code in the control module which implemented. Driving cycles are indicated with vertical lines. A driving often begins with ignition on and ends with ignition off.

Counter 1 (C#1). Counts number of driving cycles performed since the malfunction was confirmed last. As soon as a malfunction is detected and confirmed, the value is reset. When the malfunction is both detected and disappears in the second driving cycle (graph A), counter 1 will count up to 1 first in the following driving cycle (driving cycle 3), that is, a driving cycle has been run through since the last time the malfunction was confirmed. In driving cycle 4, the counter is updated again, now to value 2. Just after that, the malfunction is detected (graph A), the malfunction is confirmed and the counter's value is reset. This sequence is repeated once again in driving cycle 5.
With other words, one can say that if the value is zero, the malfunction exists now or has existed earlier in the current driving cycle. If the vehicle is restarted (often requires ignition off and on again) in this position and the counter's value still is 0, then you probably have a permanent malfunction.
Values near zero indicate that the malfunction has been detected recently. It may also be that the malfunction exists but the diagnostic trouble code test has not started in these driving cycles, which means that the counter has not been reset. A high counter value indicates that the malfunction was last detected a number of driving cycles ago.

Counter 2 (C#2). Counts the number of driving cycles since the last confirmation of the malfunction and where the diagnostic trouble code was performed without detecting malfunction and confirmation of malfunction. Thus, when diagnostic trouble code is performed and no malfunction is detected, the counter will count up by 1 for every driving cycle. As soon as a malfunction is detected and confirmed, the value is reset.
When the malfunction is detected and disappears in the second driving cycle (graph A), counter 2 will count up to 1 first in the following driving cycle (run cycle 3). In driving cycle 4 the counter is updated again (diagnostic trouble code test has been run without detecting malfunction), now to value 2. Immediately after that the malfunction is detected (graph A), the malfunction is confirmed and the counter's value is reset. This sequence is repeated once again in driving cycle 5.
During driving cycle 6 and 7, the diagnostic trouble code test was run without detecting malfunction and the counter receives the value 2. In driving cycle 8, the diagnostic trouble code test is not run and thus the counter is not updated.

Counter 3 (C#3). Counts the number of driving cycles performed since the malfunction was confirmed the first time. When a malfunction is confirmed the first time, the counter will count up by 1 for every subsequent driving cycle, regardless of if the malfunction is detected or not. Thus, the counter tracks the the number of driving cycles since the malfunction was detected the first time. See graph where the counter increases by 1 for every subsequent driving cycle and the value of the counter is finally 6.
A low value indicates that the malfunction was detected for the first time relatively recently. However, a high value indicates that a first detection was performed some time ago.

Counter 4 (C#4). Counts the number of driving cycles in which the counter's value has been updated first when the malfunction was detected in the driving cycle. The counter has a final value of 3.
A certain indication of a malfunction's intensity can be obtained if you compare the value for counter 4 with counter 3. The closer the value for counter 4 the value is to the value of counter 3, the more frequent the malfunction.

Counter 5 warm-up (C#5). Counts the number of warm-up cycles that have been run since the malfunction light (MIL) has gone off. The counter is not shown in the illustration. Note! Only applies to emission-related systems.

Counter 6 malfunction detection (C#6). The counter counts the number of internal detections of the malfunction that have been run for the diagnostic trouble code. When this counter reaches value +127, the control modules decides that the malfunction is active right now.
When the counter is at value -128, the malfunction is not active. The value is reset for every new driving cycle.
If the value increases towards +127, the control module has detected a malfunction, and for every internal test the value is counted up. When the malfunction no longer exists, the control module counts down to minimum - 128.
The value on the control module can only be changed when it has started the test for the diagnostic trouble code. How big each step is that the control module counts up or down the value by to reach the limits +127 or -128 may vary between control modules. Limits +127 and -128 are pre-defined limits in the control module.
In the graph, the counter first counts down to -128 when the diagnostic trouble code test starts. When a malfunction occurs (graph B) and the diagnostic trouble code test detects the malfunction, first the counter's value is reset to 0, then it scrolls up to +127. Only then the malfunction is considered to exist. If the malfunction disappears and the diagnostic trouble code test is active, the counter counts down to -128.

Counter 7 malfunction detection - max. current (C#7). Shows maximal value that counter 6 has in the present driving cycle. The counter is not shown in the illustration.

Counter 8 malfunction detection - max. earlier (C#8). Shows maximal value that counter 6 has in the present and/or has had in earlier driving cycle. The counter is not shown in the illustration.