DTC Table (P Codes / U Codes / ECM Codes)
Conversion table standardized diagnostic trouble codes/Volvo diagnostic trouble codes
Information
Background
OBD II is a diagnostics system designed to meet statutory requirements. A standardized instrument for fault-tracing can be plugged in to the data link connector (DLC) (OBD II socket) to read diagnostic trouble codes (DTCs) and system parameters. OBD II contains only emissions related diagnostic trouble codes (DTCs) and parameters. It cannot provide the comprehensive range of information available from the Volvo On-board diagnostics system.
Volvo has its own diagnostic trouble code (DTC) designations that adhere to the in-house Volvo On-board Diagnostics protocol (called DII from model year 1999).
Table explanations
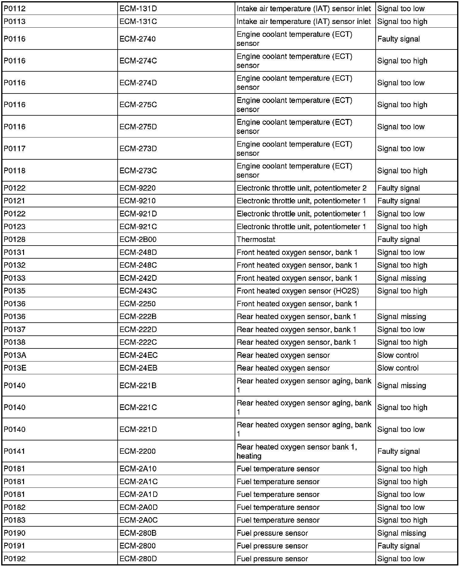
The table below is a conversion table between standardized diagnostic trouble codes (DTCs) (SAE/ISO) and the equivalent Volvo diagnostic trouble codes (DTCs) (DII).
SAE/ISO DTC: Standardized diagnostic trouble code as per SAE J2012/ISO 15031-6. The DTC can be read out from the vehicle using a standardized diagnostics system for emission-related faults certified as per OBD II. The readout is taken with a generic scantool, a fault tracing instrument standardized as per SAE J1978/ISO 15031-4.
Volvo DII DTC: Volvo-specific diagnostic trouble code as per Volvo Onboard Diagnostics protocol. Can be read out from cars from model year 1999 using VIDA.
DTC designation: Volvo DTC designation. Used in VIDA.
Fault type: Volvo's method of specifying the fault. Used in VIDA.
Note! An SAE/ISO diagnostic trouble code can correspond to several DII diagnostic trouble codes. Therefore, all of these must by rectified in order for the corresponding SAE/ISO diagnostic trouble code to disappear.Several SAE/ISO diagnostic trouble codes may also refer to the same DII diagnostic trouble code.There are DII diagnostic trouble codes for non emission-related problems that do not correspond to any SAE/ISO diagnostic trouble code.
Table