Curiosii for ever!: Car repair manuals for everyone.

Lubricants, Engine






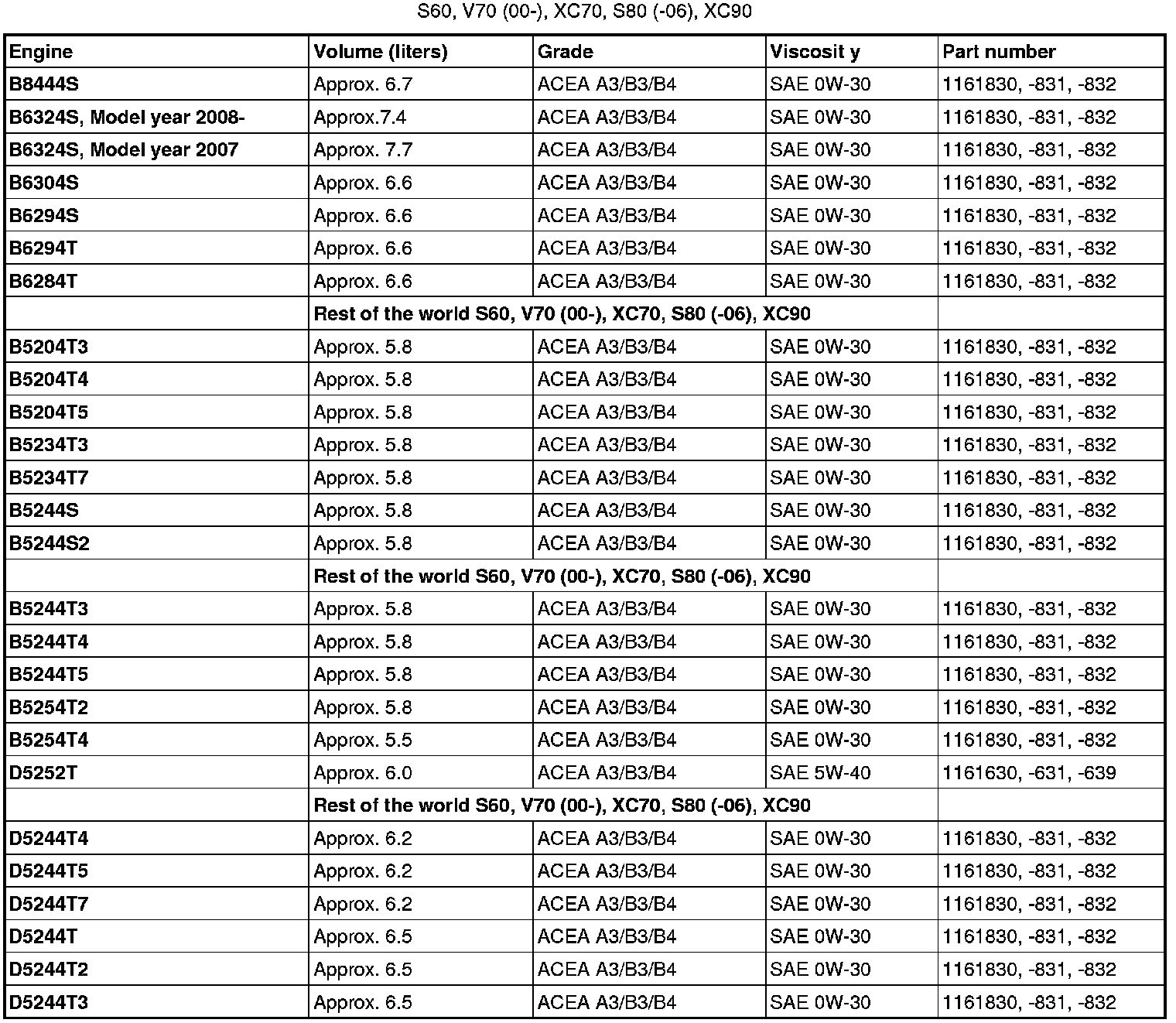
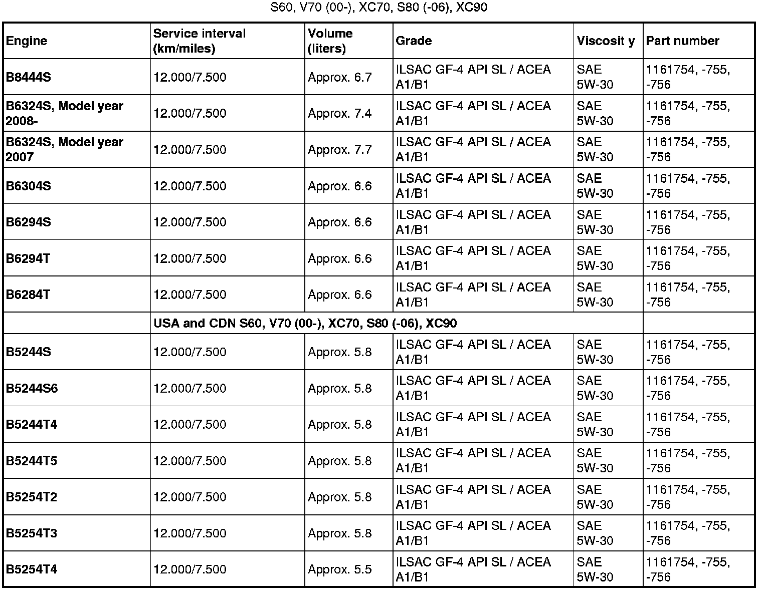
Lubricants, engine
EU





Oil grade ACEA A3/B3/B4 can not be replaced by any other oil other than the one prescribed in the table for engines D5244T, D5244T2 and D5244T3.










USA and CDN





Oil grade ACEA A1/B1 can be replaced with WSS-M2C913-B or with ACEA A5/B5, not vice versa.





Oil grade ACEA A1/B1 can be replaced with WSS-M2C913-B or with ACEA A5/B5, not vice versa.





Oil grade ACEA A1/B1 can be replaced with WSS-M2C913-B or with ACEA A5/B5, not vice versa.
Rest of the world





Oil grade ACEA A3/B3/B4 can not be replaced by any other oil other than the one prescribed in the table for engines D5244T, D5244T2 and D5244T3.