Starting System - No Crank/No Start Diag. Information
TIE - Technical JournalTitle Advised fault tracing for No Crank / No Start
Ref No US16335.1.1 en-GB
Issuer -
Partner 3 US7510 Volvo Cars North America
Func Group 3007
Func Desc
Status Released
Status Date 2007-06-15
Attachment
Vehicle Type
CSC
DTC
Text
DESCRIPTION:
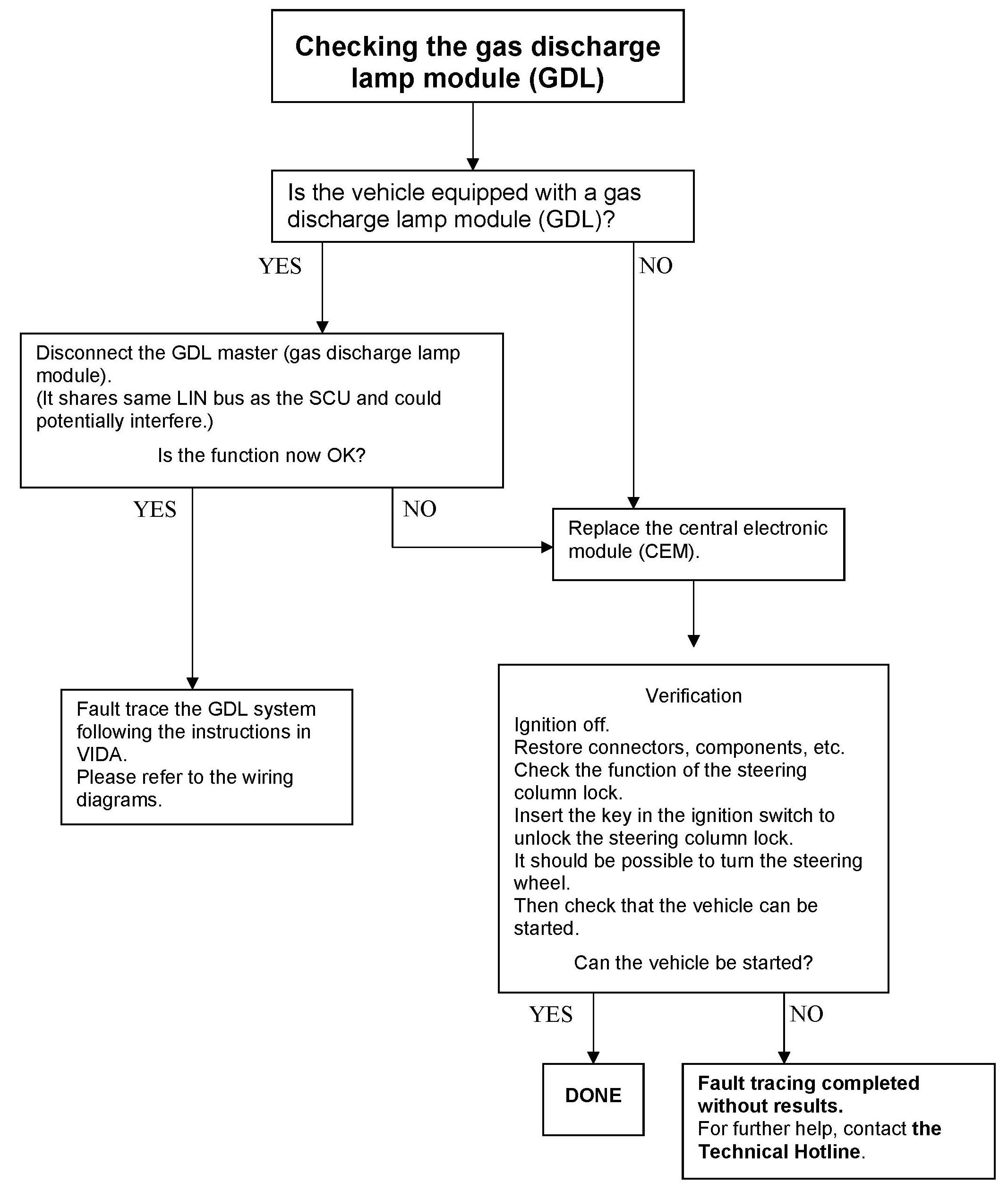
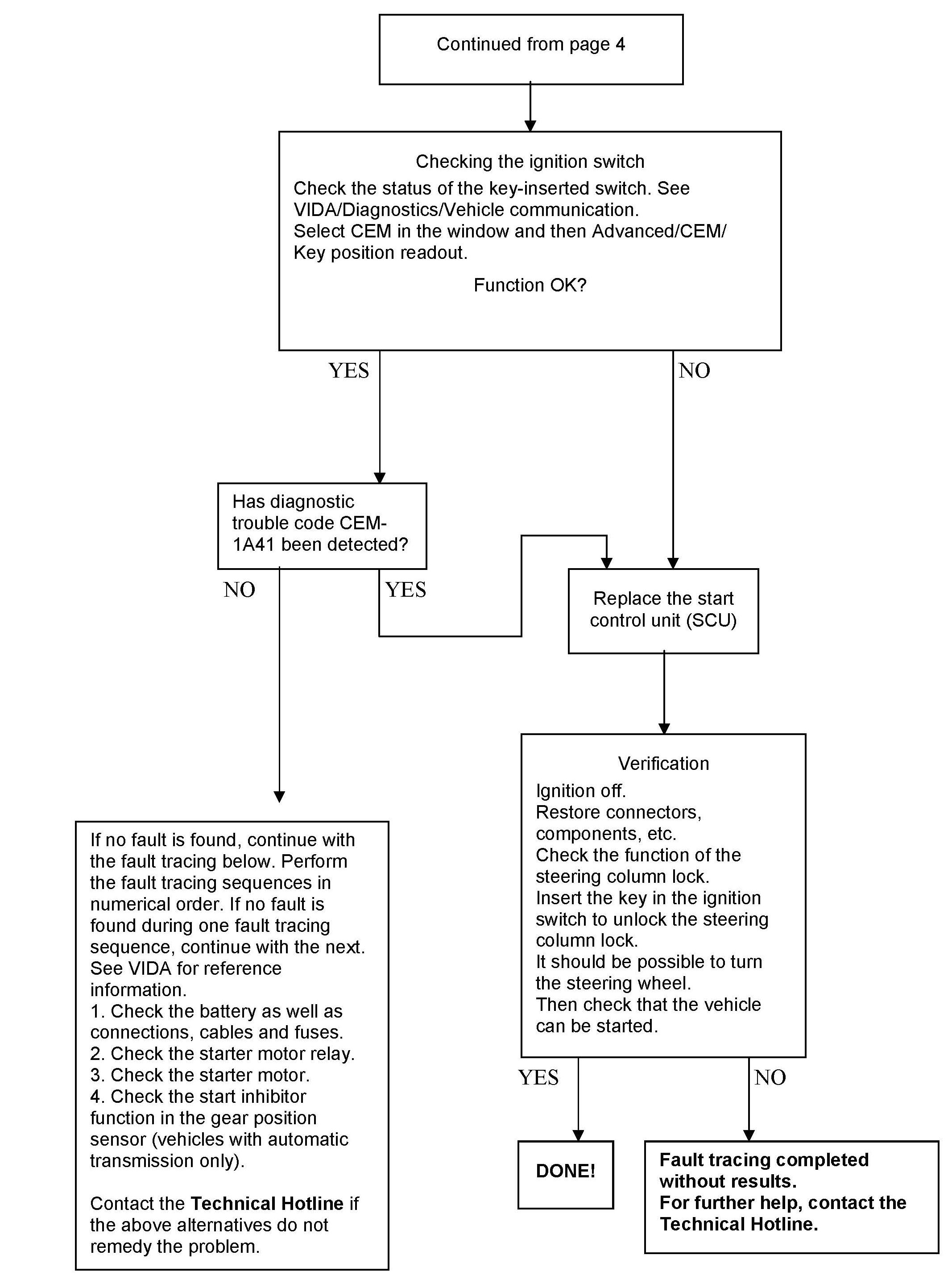
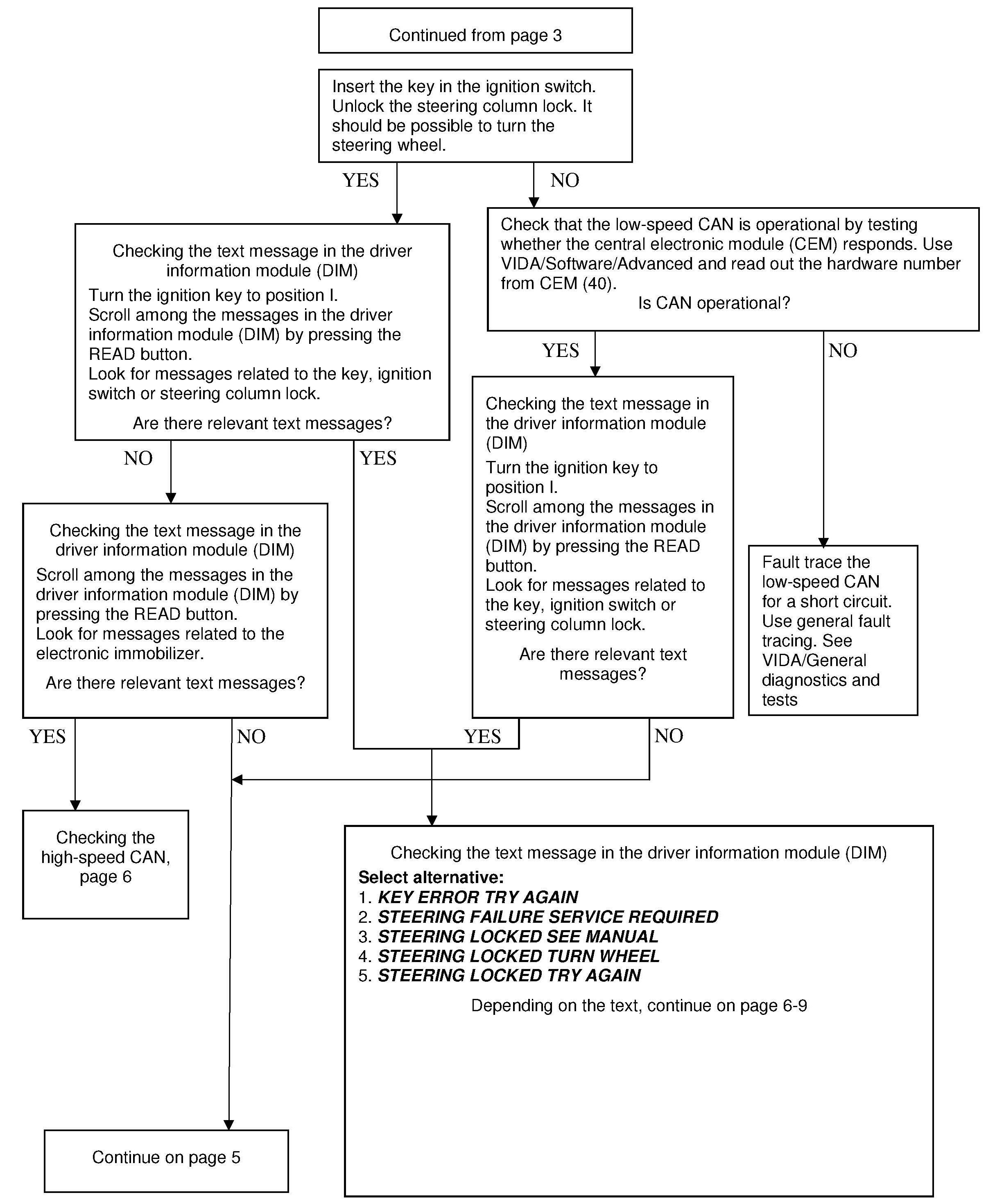
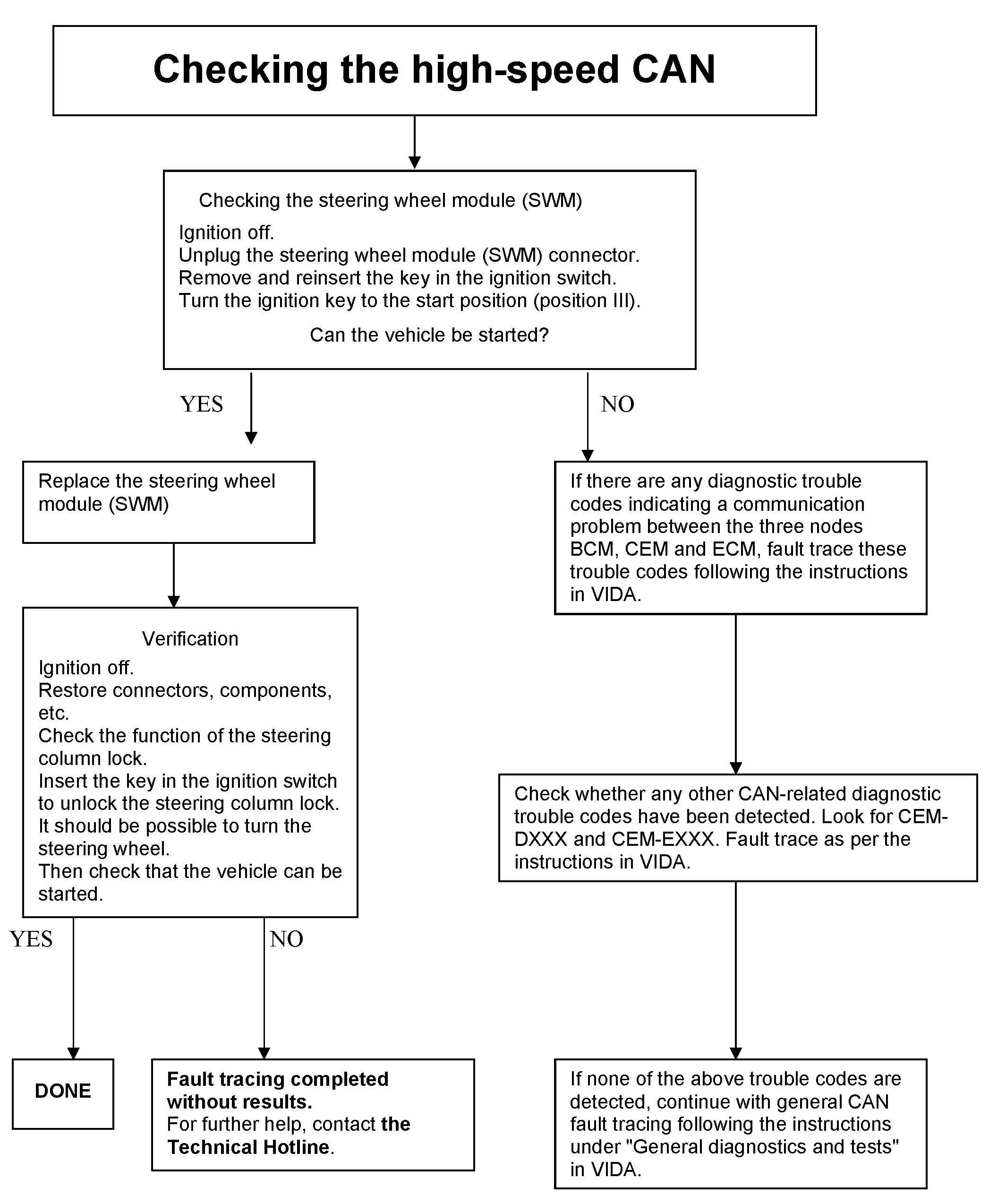
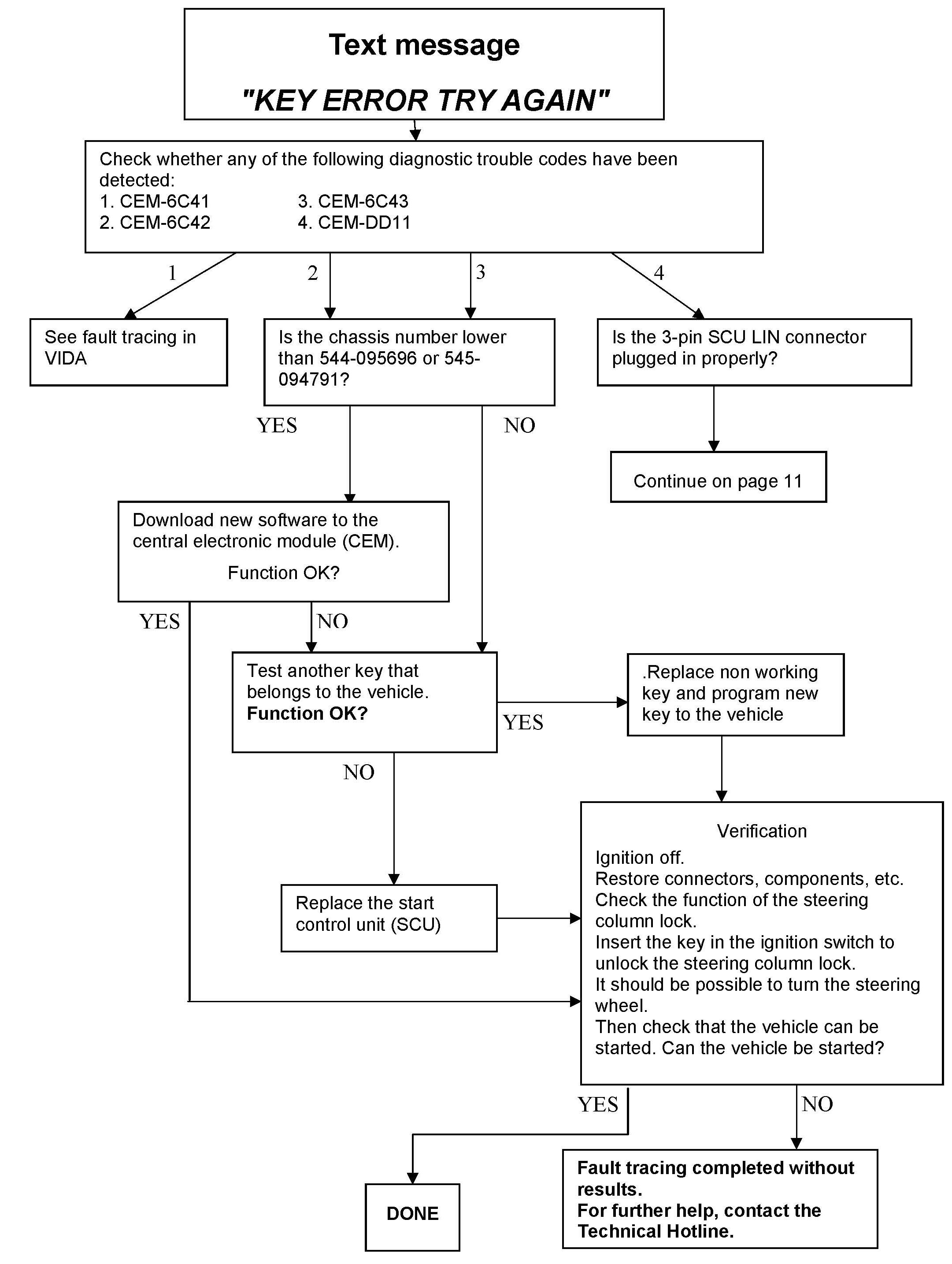
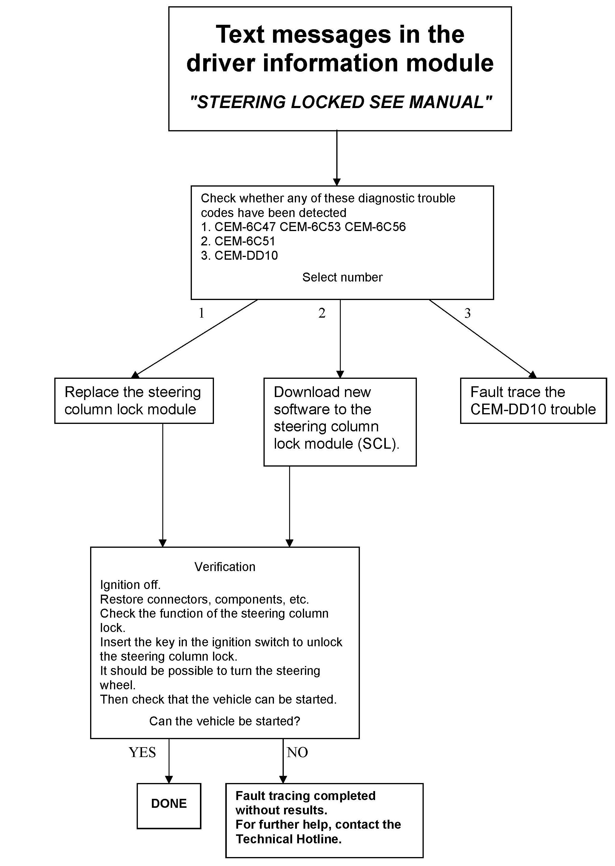
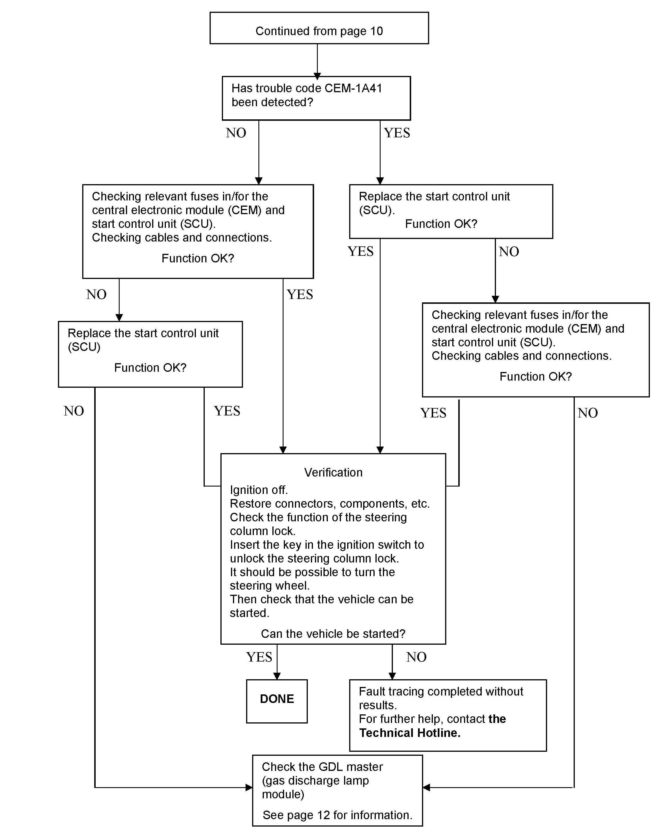
The start validation on S401V50 cars is complex and this TNN has been created to assist in fault tracing the system. These fault tracing flowcharts should be used in case of reported intermittent or permanent NO CRANK / NO START symptoms on 5401V50 and New C70 cars.
SERVICE:
See attachment.