Curiosii for ever!: Car repair manuals for everyone.

Transmission Control Module (TCM)



General

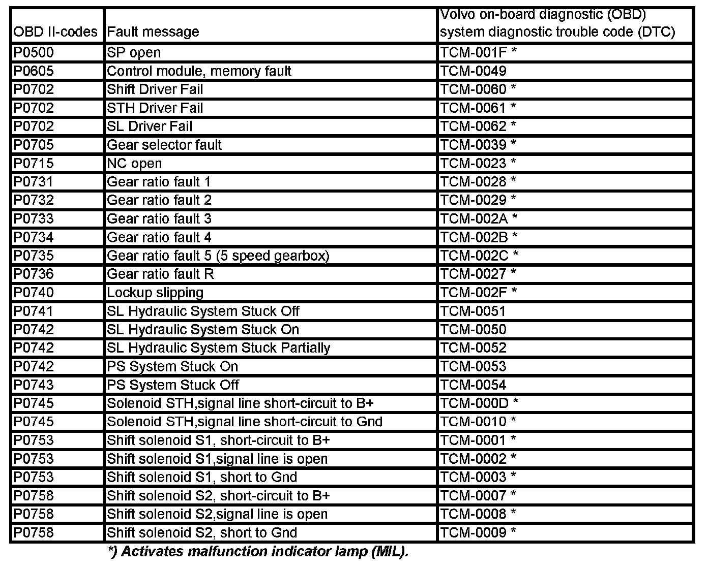
OBD II is a diagnostics system designed to meet statutory requirements. Fault-tracing instruments can be plugged in to the OBD II socket in order to read diagnostic trouble codes (DTCs) and system parameters. OBD II contains only emission related diagnostic trouble codes (DTCs) and parameters and cannot provide the comprehensive range of information available from the Volvo On-board diagnostics system.


OBD II Codes

DTC P0500 - P0758:







TCM Codes
TCM-0001 - Shift Solenoid S1
TCM-0002 - Shift Solenoid S1
TCM-0003 - Shift Solenoid S1
TCM-0007 - Shift Solenoid S2
TCM-0008 - Shift Solenoid S2
TCM-0009 - Shift Solenoid S2
TCM-000B - Shift Solenoid S1
TCM-000C - Shift Solenoid S2
TCM-000D - Line Pressure Solenoid STH
TCM-000F - Line Pressure Solenoid STH
TCM-0010 - Line Pressure Solenoid STH
TCM-0012 - Lock-Up Solenoid SL
TCM-0013 - Lock-Up Solenoid SL
TCM-0014 - Lock-Up Solenoid SL
TCM-0016 - Control Module
TCM-001F - Vehicle Speed Sensor
TCM-0020 - Vehicle Speed Sensor
TCM-0023 - Input Speed Sensor
TCM-0024 - Input Speed Sensor
TCM-0027 - Back-Up (Reverse) Gear
TCM-0028 - 1ST Gear
TCM-0029 - 2ND Gear
TCM-002A - 3RD Gear
TCM-002B - 4TH Gear
TCM-002F - Lock-Up Function
TCM-0039 - Gear-Shift Position Sensor
TCM-0042 - Oil Temperature
TCM-0043 - Oil Temperature Sensor
TCM-0044 - Oil Temperature Sensor
TCM-0045 - Oil Temperature Sensor
TCM-0046 - Oil Temperature
TCM-0048 - Control Module
TCM-0049 - Control Module
TCM-0081 - Vehicle Speed Sensor
TCM-0083 - Vehicle Speed Sensor
TCM-0087 - Input Speed Sensor
TCM-0089 - Input Speed Sensor
TCM-009A - Battery Voltage
TCM-E000 - Control Module Communication
TCM-E003 - Control Module Communication