Curiosii for ever!: Car repair manuals for everyone.

Specification For Planetary Gearbox

Transmission By Model Year And Engine Type

Transmission By Model Year And Engine Type:





1) New turbocharger unit from 1990 on
2) USA, Canada, Japan, Australia





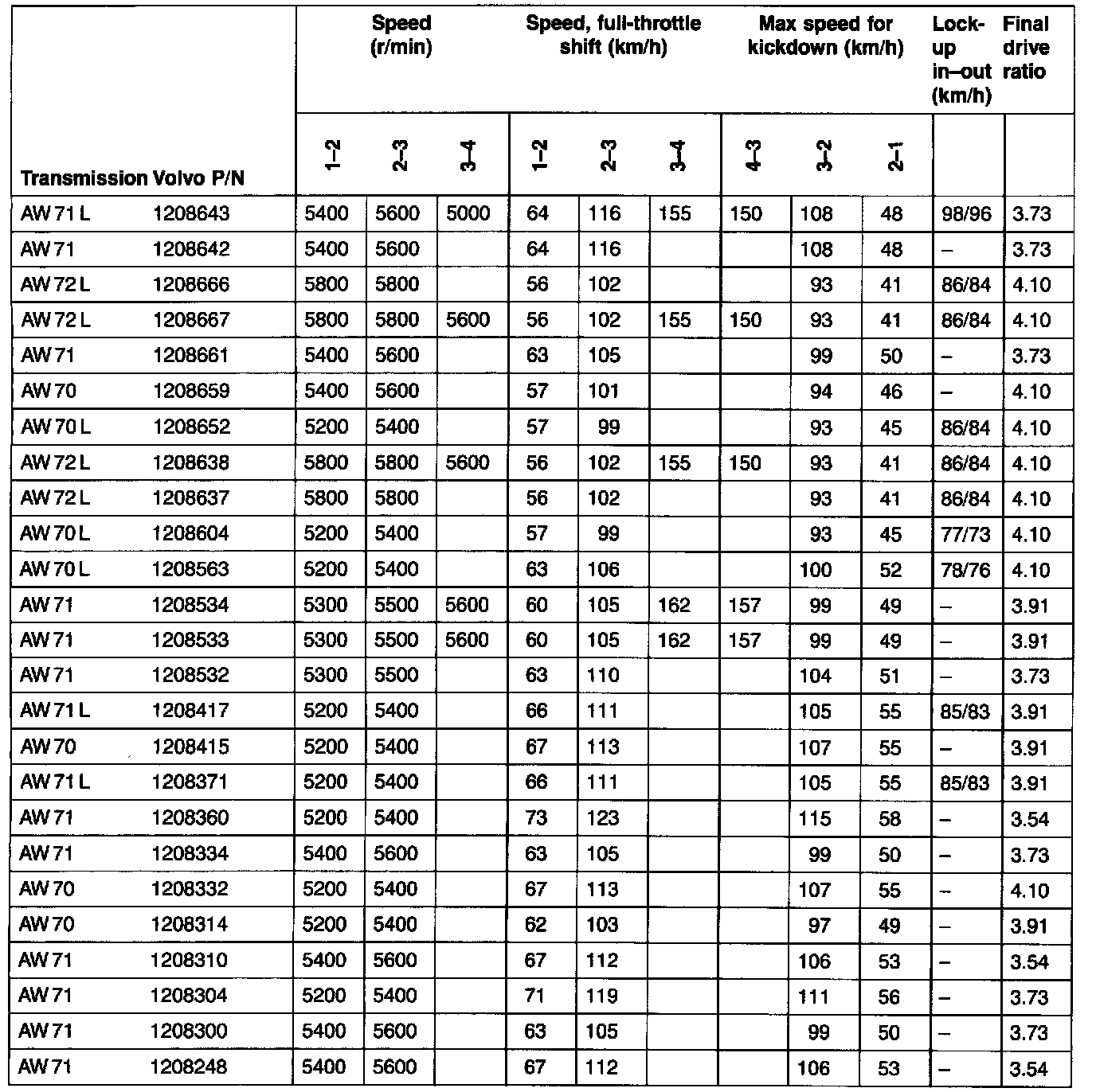
Shift Conditions At kickdown





Torque Converter, Stall Speed, Torque Converter Housing
* Torque converter with mounting lugs





Drive Flange, Solenoid Valve, Kickdown Inhibitor, Oil Pump





Kickdown Cable, Throttle Cam, Governor
1233359 to March 1982 incl.





Line Pressure In Gear Positions D And R
* Red primary regulator valve, spring 0.38 MPa
** White primary regulator valve, spring 0.47 MPa





Stall Speed Pressure In Gear Positions D And R





Governor Pressures
* Applies to AW72L.