Curiosii for ever!: Car repair manuals for everyone.

Checking Power Windows




Front Left And Right - Checking:






POWER WINDOWS, LEFT AND RIGHT FRONT, CHECKING

Test conditions:
- Battery voltage OK
- Circuit breaker S43 OK
- Fuse S14 on fuse/relay panel OK
- Power windows mechanically OK

NOTE:
- Use Connector Test Kit VW 1594 to make all necessary electrical connections
- For terminal designation of 32-point connector The A-pillar left or right, see "Component Locations"

Troubleshooting preparations:
- Switch ignition OFF
- Disconnect 32-point connector in left A-pillar for left side, in right A-pillar for right side.
- Start troubleshooting on left side, continue on right side if necessary.


Left Front - Checking:






Left Front - Checking Continue:






Left Front - Checking Continue:






Left Front - Checking Continue:






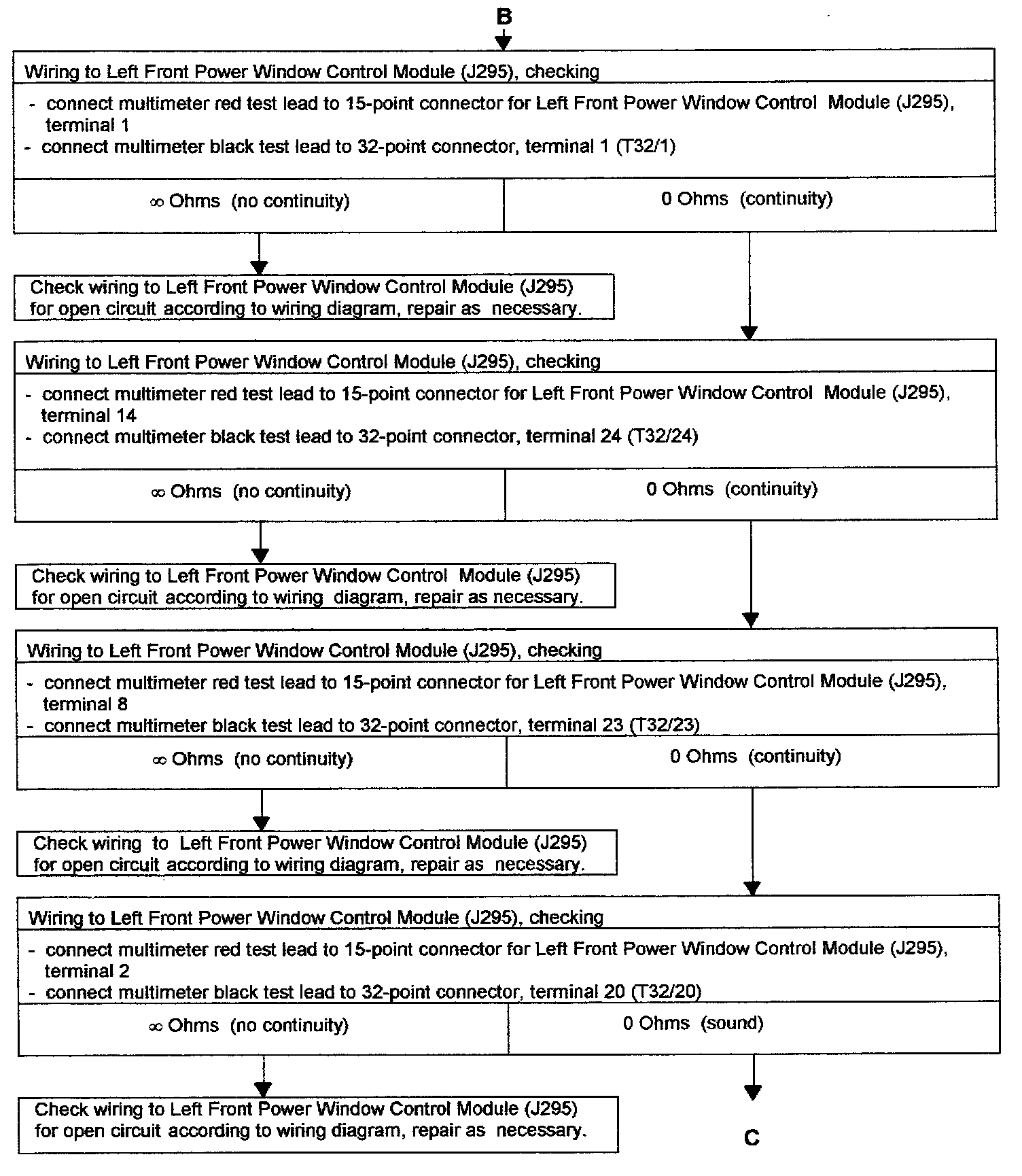
POWER WINDOW, LEFT FRONT, CHECKING

Test conditions:
- Battery voltage OK
- Circuit breaker S43 OK
- Fuse S14 (10 A) on fuse/relay panel OK
- Power window mechanically OK
- Power windows in other doors work OK
- See Troubleshooting "POWER WINDOWS, LEFT AND RIGHT FRONT, CHECKING"

NOTE:
- Use Connector Test Kit VW 1594 to make all necessary electrical connections.
- For terminal designation of 32-point connector The A-pillar left or right, see "Component Locations"


Right Front - Checking:






Right Front - Checking Continue:






Right Front - Checking Continue:






Right Front - Checking Continue:






Right Front - Checking Continue:






POWER WINDOW, RIGHT FRONT, CHECKING

Test conditions:
- Battery voltage OK
- Circuit breaker S 43 OK
- Fuse S 14 (10A) on fuse/relay panel OK
- Power window mechanically OK
- All other power windows OK
- See Troubleshooting POWER WINDOWS, LEFT AND RIGHT FRONT, CHECKING" for passengers door.


NOTE:
- Use Connector Test Kit VW 1594 to make all necessary electrical connections.
- For terminal designation of 32-point connector in A-pillar left or night, see "Component Locations"


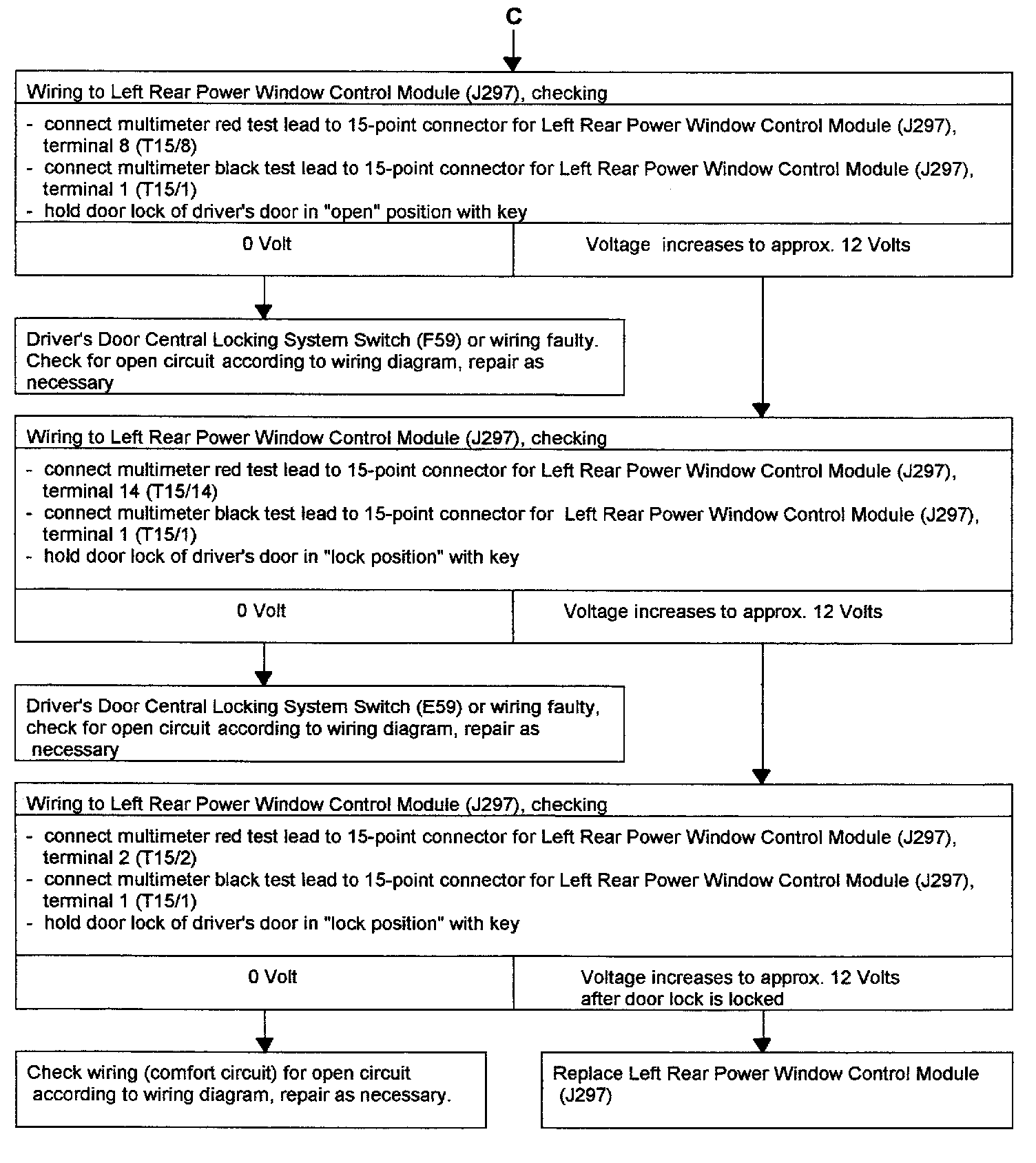
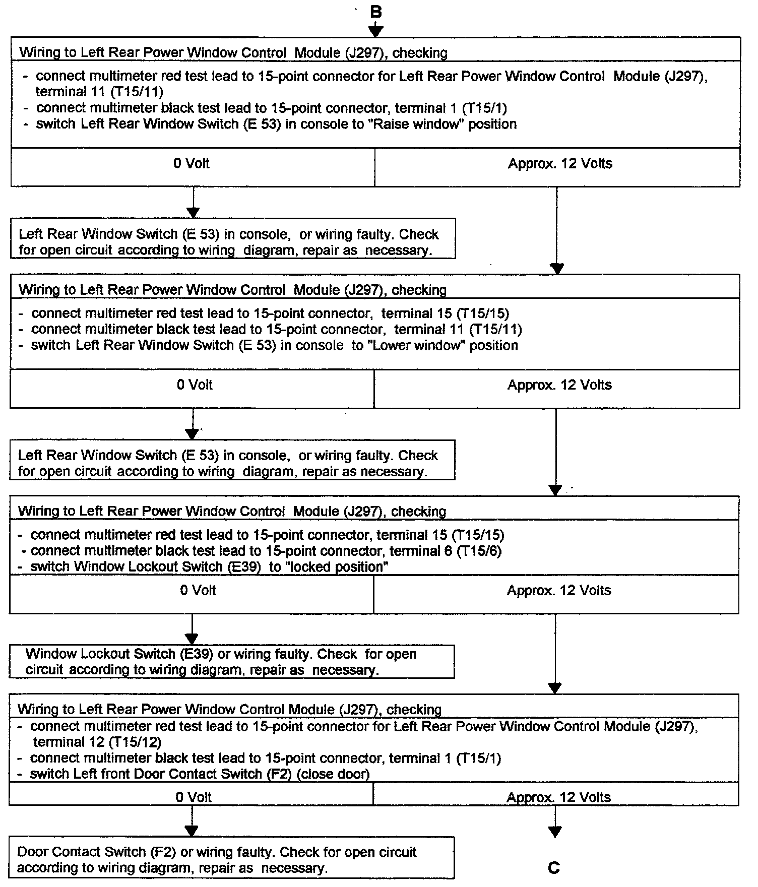
Left Rear - Checking:






Left Rear - Checking Continue:






Left Rear - Checking Continue:






Left Rear - Checking Continue:






POWER WINDOW, LEFT REAR, CHECKING

Test conditions:
- Battery voltage OK
- Circuit breaker S 43 OK
- Fuse S 14 (10 A) on fuse/relay panel OK
- Power window mechanically OK
- All other power windows OK
- 21-point connector in B-pillar properly connected


NOTE:
- Use Connector Test Kit VW 1594 to make all necessary electrical connections


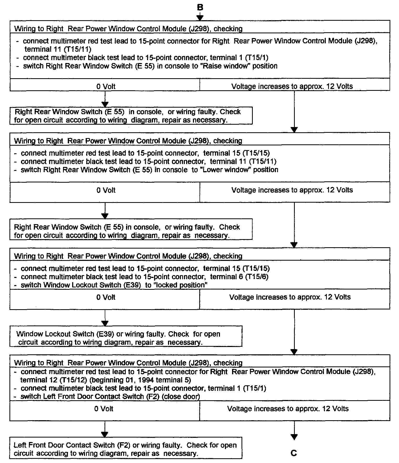
Right Rear - Checking:






Right Rear - Checking Continue:






Right Rear - Checking Continue:






Right Rear - Checking Continue:






POWER WINDOW, RIGHT REAR, CHECKING

Test conditions:
- Battery voltage OK
- Circuit breaker S 43 OK
- Fuse S 14 (10 A) on fuse/relay panel OK
- Power window mechanically OK
- All other power windows OK
- 21-point connector in B-pillar properly connected


NOTE:
- Use Connector Test Kit VW 1594 to make all necessary electrical connections.