Curiosii for ever!: Car repair manuals for everyone.

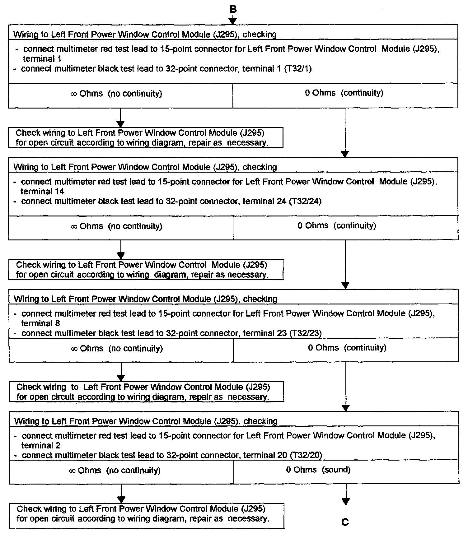
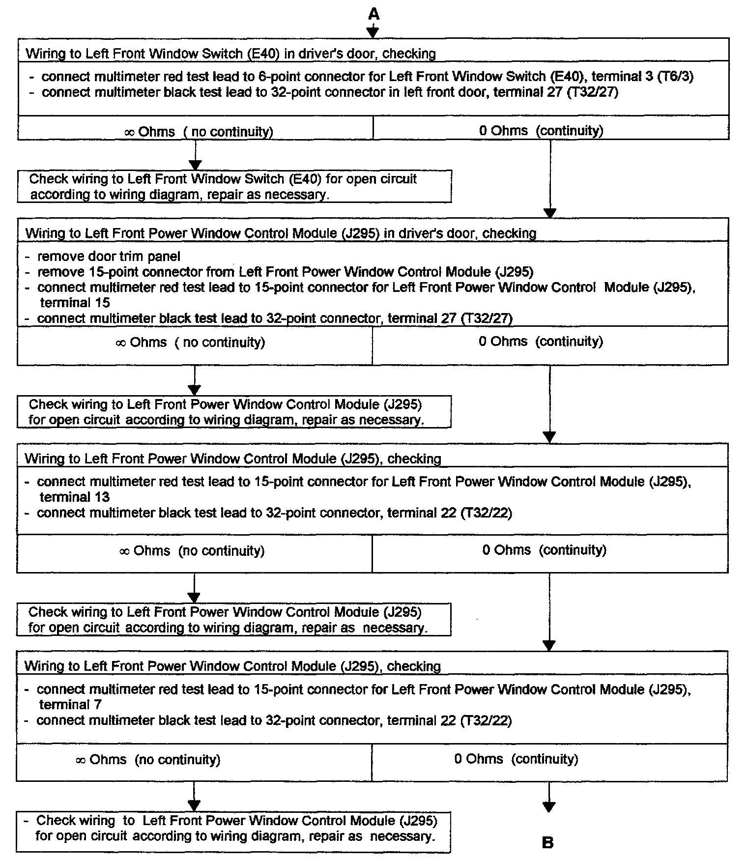
Power Window, Left Front, Checking



Tools required:
- Digital multimeter Fluke 83 (US 1119)

CAUTION: DO NOT damage, enlarge or bend connector terminals or cavities by forcing probes into them when performing electrical checks. Use Connector Test Kit VW 1594 to make the necessary electrical connections.

- Connector Test Kit VW 1594
- Applicable wiring diagram

















Test conditions:
- Battery voltage OK
- Circuit breaker S43 OK
- Fuse S14 (10A) on fuse/relay panel OK
- Power window mechanically OK
- Power windows in other doors work OK
- Troubleshooting "POWER WINDOWS, LEFT AND RIGHT FRONT, CHECKING" completed but problem was not corrected.

NOTE:
- Use Connector Test kit VW 1594 to make all necessary electrical connections.
- For terminal designation of 32-point connector in A-pillar left or right, Connector Locations