Curiosii for ever!: Car repair manuals for everyone.

O2 Sensor - Troubleshooting

Group: 25

Number: 82-01

Date: May 11, 1982

Subject: Oxygen Sensor

Key Points: Troubleshooting

Part Identifier: 25 10








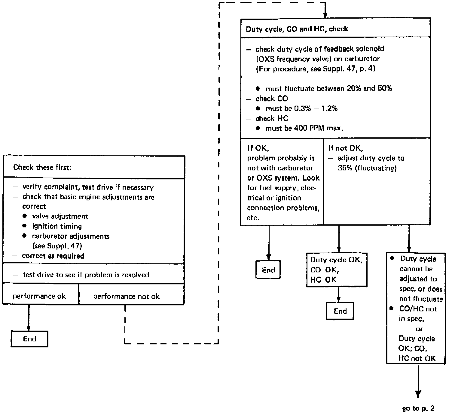
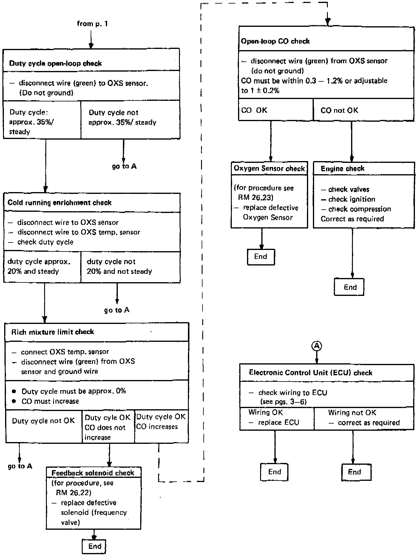
If hard starting, stalling, poor running, fluctuating idle speed, or poor fuel economy conditions occur, use the troubleshooting charts in the accompanying illustrations to check out electrical wiring and oxygen sensor circuits.





Electronic Control Unit Pin Numbers













Electronic Control Unit Pin-Out Tests

Note:
For overall current flow diagram on Rabbit/Pickup carburetor equipped cars, see Supplement 27.


For tests and adjustments on the carburetor, see Supplement 47.