Curiosii for ever!: Car repair manuals for everyone.

Active Test

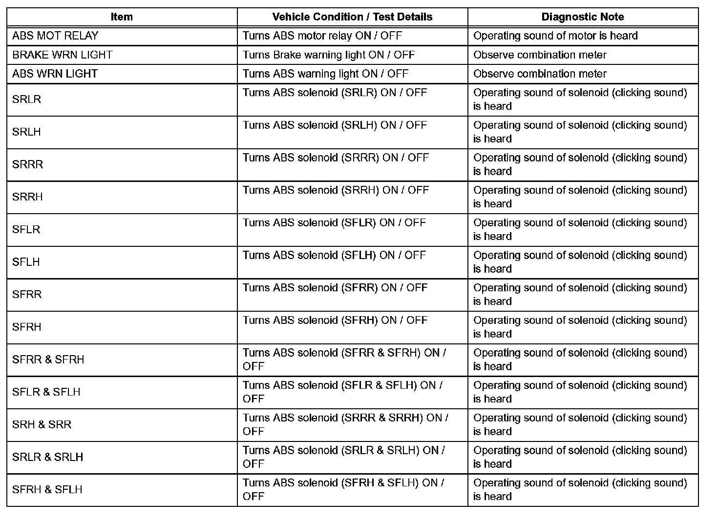
ACTIVE TEST

HINT: Performing the ACTIVE TEST using the intelligent tester allows the relay, actuator and so on to operate without parts removal. Performing the ACTIVE TEST as the first step of troubleshooting is one of the methods to shorten labor time.

It is possible to display the DATA LIST during the ACTIVE TEST.

a. Connect the intelligent tester to the DLC3.
b. Turn the ignition switch on (IG).

Part 1:




c. According to the display on the tester, perform the "ACTIVE TEST".