Curiosii for ever!: Car repair manuals for everyone.

Programming and Relearning

ENGINE IMMOBILIZER SYSTEM

REGISTRATION

1. DESCRIPTION OF CODE REGISTRATION




a. When adding master keys and sub-keys (additional registration).
1. Register the key code (immobilizer code) in the transponder key ECU.

b. When replacing the transponder key ECU (new registration).




1. Register the key code (immobilizer code) in the transponder key ECU.




2. Register the ECU COMMUNICATION ID between the ECM and the transponder key ECU.




c. When replacing the ECM.
1. Register the ECU COMMUNICATION ID between the ECM and the transponder key ECU.




d. When erasing the key code.
1. Erase the key code from the transponder key ECU.

2. KEY REGISTRATION IN AUTOMATIC REGISTRATION (NEW REGISTRATION)
a. When an ignition key is inserted into the ignition cylinder, the key code (immobilizer code) registration is automatically performed. In this mode, a maximum of 4 key codes for 3 master keys and 1 sub-key can be registered. The master keys and sub-keys can be registered in any order because the transponder key ECU assembly can distinguish the types of keys.

HINT:
- When a new transponder key ECU assembly is installed, key codes (immobilizer codes) must be registered with ignition keys.
- New transponder key ECU assemblies are automatically set to automatic key code registration mode.

Automatic Key Code Registration (New Registration):





HINT:
- When no key is inserted in the ignition key cylinder in automatic key code registration mode, the security indicator remains on.
- When the immobilizer system is operating normally and the key is pulled out, the security indicator blinks continuously.
- If the key code registration has failed in automatic key code registration mode, code 2-1 will be output from the security indicator. Trying to re-register an already registered key will cause code 2-2 to be output when the key is inserted. If the number of registered key codes exceeds the limit, code 2-3 will be output from the security indicator. The output details are shown below.

Security Indicator:





b. Finish the automatic key code registration mode.

HINT: The automatic key code registration mode can be forced to end when 1 or more key codes (immobilizer code) for the master key have been registered.

(1) Turn the ignition switch ON and OFF 5 times within 10 seconds using the already registered master key.


3. REGISTRATION OF ADDITIONAL KEY (ADDITIONAL REGISTRATION)
a. Register additional keys by using the hand-held tester.

HINT:
- A maximum of 5 master key codes and 3 sub-key codes can be registered.
- Registration mode will end if each step is not completed within the specified time.
- When the ignition cylinder or the key cylinder set is replaced, remove the transmitter module from the original master key. Then install this transmitter module to a new key and use the new key as the master key. If necessary, use this master key to register other keys.

NOTICE: When the ignition key cylinder has been replaced, locking and unlocking the doors is possible with the new master key's transmitter module (taken from the original master key). However; the new master key will not be able to lock and unlock the doors through the door key cylinder. Keep the original master key. If a battery in the new master key's transmitter module fails, the original master key can be used to lock and unlock the doors through the door key cylinder.

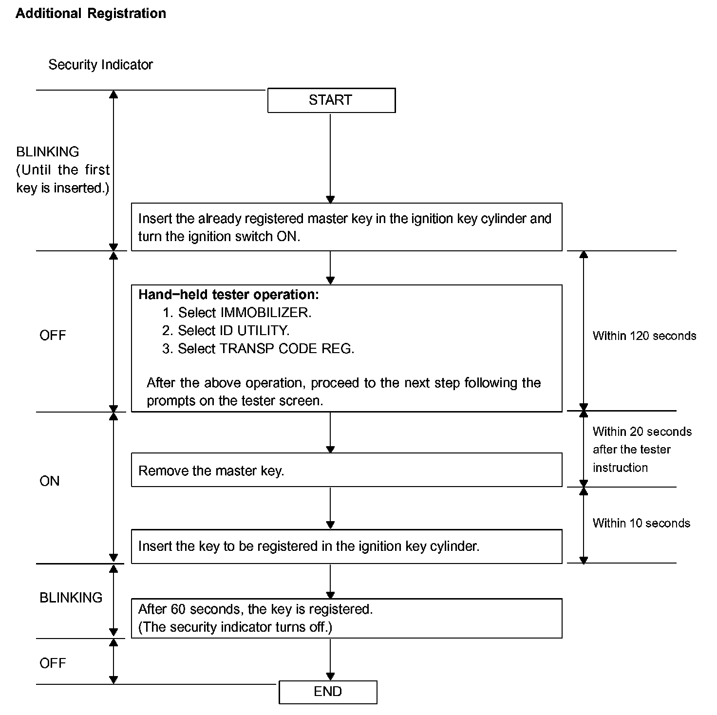
Additional Registration:





HINT:
- A brief outline of procedures for key code registration is shown on this page. Refer to the hand-held tester screen instructions for more information.
- When the immobilizer system is operating normally and the key is pulled out, the security indicator blinks continuously.
- If the key code registration has failed in automatic key code registration mode, code 2-1 will be output from the security indicator. Trying to re-register an already registered key will cause code 2-2 to be output when the key is inserted. If the number of registered key codes exceeds the limit, code 2-3 will be output from the security indicator. The output details are shown in step 2 (new registration).

4. ERASURE OF KEY CODE
a. Erase key codes using the hand-held tester.

HINT:
- All key codes are erased except for the master key, which is used for erasing the key codes. In order to use a key whose code has been erased, a new key code must be registered.
- Registration will be cancelled if each step is not completed within the specified time.

Erasing Key Code:





HINT:
- A brief outline of procedures for key code registration is shown on this page. Refer to the hand-held tester screen's instructions for more information.
- When the immobilizer system is operating normally and the key is pulled out, the security indicator blinks continuously.

5. ECU COMMUNICATION ID REGISTRATION

NOTICE:
- The ECU COMMUNICATION ID should be registered when the transponder key ECU assembly and/or the ECM is replaced in order to match the ECM COMMUNICATION ID.
- The engine cannot be started unless the ECM COMMUNICATION ID matches.

a. Register the ECU Communication ID.




(1) Using SST, connect terminals TC and CG of the DLC3.
SST 09843-18040
(2) Turn the ignition switch ON (do not start the engine) and leave it for 30 minutes.
(3) Turn the ignition switch off and disconnect terminals TC and CG.
(4) Check that the engine starts.