Curiosii for ever!: Car repair manuals for everyone.

Cruise Control System

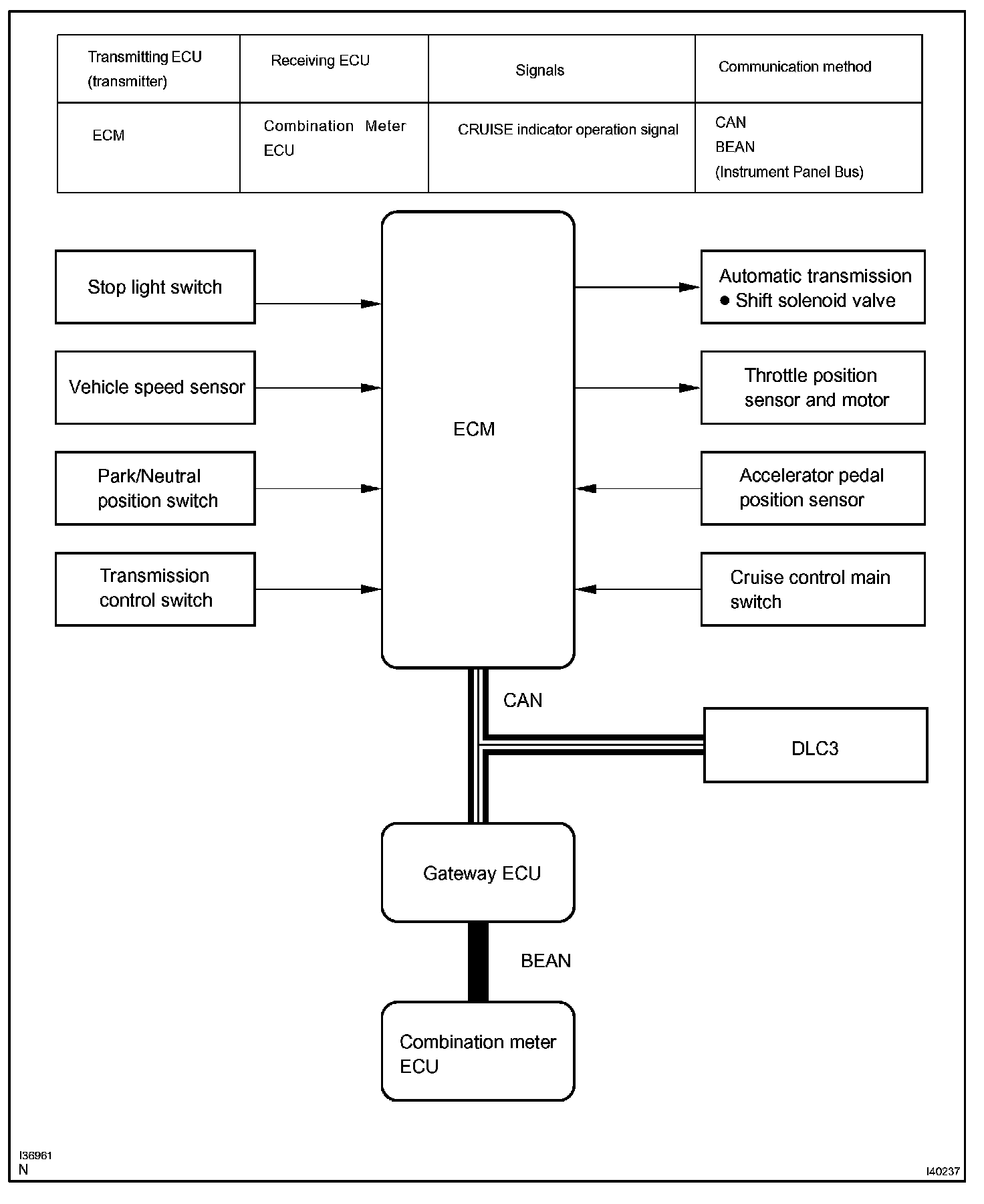
SYSTEM DIAGRAM

System Diagram:






SYSTEM DESCRIPTION

1. CRUISE CONTROL SYSTEM
The computer which controls the cruise control system is combined with the ECM, and the actuator uses the throttle position sensor and motor. A microcomputer is built into the ECM to control functions including: ON-OFF, SET/-, RES/+, CANCEL, vehicle speed operation, motor output control, and overdrive control.
- The ECM compares the driving vehicle speed from the speed sensor with the stored vehicle speed set through the cruise control main switch assembly. The ECM instructs the throttle valve motor of the throttle position sensor and motor to close the valve when the driving vehicle speed is greater than the stored vehicle speed, and instructs it to open the valve when the driving speed is less than the stored speed.
- The ECM receives signals such as ON-OFF, SET/-, RES/+, and CANCEL from the cruise control main switch assembly and executes the command.
- The ECM turns on the indicator in the combination meter based upon the ON signal from the cruise control main switch assembly.
- The ECM cancels the cruise control system when it detects that the brake pedal is depressed, based on the stop light switch signal.
- The ECM cancels the cruise control system when it detects that the shift position is changed from D (5th or 4th gear) to N (3rd, 2nd or 1st gear), based on the park/neutral position switch assembly signal.

2. LIMIT CONTROL
a. Low speed limit
The lowest possible limit of the speed setting range is set at approximately 40 km/h (25 mph). The cruise control system cannot be set when the driving vehicle speed is below the low speed limit. Cruise control operation will be automatically canceled when the vehicle speed goes below the low speed limit while the cruise control is in operation.

b. High speed limit
The highest possible limit of the speed setting range is set at approximately 200 km/h (125 mph). The cruise control system cannot be set when the driving vehicle speed is over the high speed limit. Speed up using RESUME/ACCEL with the cruise control main switch assembly also cannot be set beyond the high speed limit.

3. OPERATION OF CRUISE CONTROL
The cruise control main switch operates seven functions: SET, COAST, TAP-DOWN, RESUME, ACCEL, TAP-UP, and CANCEL. The SET, TAP-DOWN and COAST functions, and the RESUME ,TAP-UP and ACCEL functions are operated with the same switch. The cruise control main switch assembly is an automatic return type switch which turns on only while operating it in each arrow direction and turns off after releasing it.

a. SET CONTROL
Vehicle speed is stored and constant speed control is maintained when pushing the switch to SET/- while driving with the cruise control main switch ON-OFF button on (the CRUISE main indicator light is on), and the vehicle speed is within the set speed range (between the low and high speed limits).

b. COAST CONTROL
The ECM makes the cruise control demanding throttle opening angle zero degrees and decelerates the vehicle (the throttle valve is not fully closed due to idle speed control, etc.) when SET/- on the cruise control main switch is pressed and held while the cruise control system is in operation. Vehicle speed, when the cruise control main switch is released from SET/-, is stored and constant speed control is maintained.

c. TAP-DOWN CONTROL
When tapping down on the cruise control main switch to SET/- (for approximately 0.5 second) while the cruise control system is in operation, the stored vehicle speed decreases each time by approximately 1.6 km/h (1.0 mph). However, when the difference between the driving and the stored vehicle speed is more than 5 km/h (approximately 3.1 mph), the vehicle speed, when the cruise control main switch is released from SET/-, will be stored and constant speed control is maintained.

d. ACCELERATION CONTROL
The throttle valve motor of the throttle position sensor and motor is instructed by the ECM to open the valve when RES/+ on the cruise control main switch is pressed and held while the cruise control system is in operation. Vehicle speed, when the cruise control main switch is released from RES/+, is stored and the vehicle is controlled at a constant speed.

e. TAP-UP CONTROL
When tapping up on the cruise control main switch to RES/+ (for approximately 0.5 second) while the cruise control system is in operation, the stored vehicle speed increases each time by approximately 1.6 km/h (1.0 mph). However, when the difference between the driving and the stored vehicle speed is more than 5 km/h (approximately 3.1 mph), the stored vehicle speed will not be changed.

f. RESUME CONTROL
If cruise control operation was cancelled with the stop light switch or the CANCEL switch, and if driving speed is within the limit range, pushing the cruise control main switch to RES/+ restores vehicle speed memorized at the time of cancellation, and maintains constant speed control.

g. MANUAL CANCEL CONTROL
Doing any of the following cancels the cruise control system while in operation. (The stored vehicle speed in the ECM is maintained.)
- Depressing the brake pedal
- Moving the shift lever to any position except D (5th and 4th gears)
- Pushing the cruise control main switch to CANCEL
- Pushing the cruise control main switch ON-OFF button off (The stored vehicle speed in the ECM is not maintained.)

4. AUTO CANCEL (FAIL-SAFE)
This system has an automatic cancellation function (fail-safe).