Curiosii for ever!: Car repair manuals for everyone.

Registration

REGISTRATION

HINT:
- Register the recognition code if the door control transmitter or the door control receiver has been replaced.
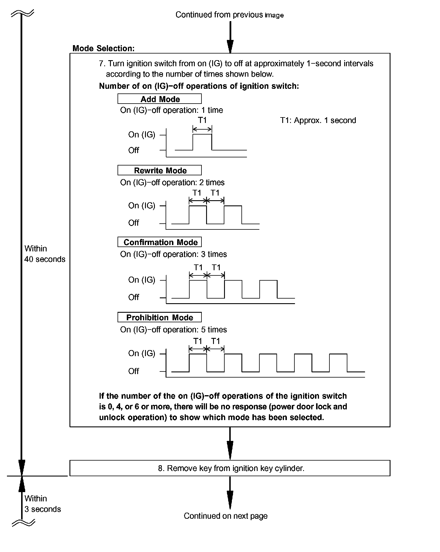
- Add mode is used to register new recognition codes while still retaining codes already registered. This mode is used when a new transmitter is added. If the number of registered codes exceeds 4, the previously registered codes will be erased in order, starting from the oldest registered code.
- Rewrite mode is used to erase all the previously registered recognition codes in order to register all-new recognition codes. This mode is used when the transmitter or the door control receiver is exchanged for a new one.
- Confirmation mode is used to confirm the number of recognition codes already registered before another recognition code is registered.
- Prohibition mode is used to erase all the registered codes and disable the wireless door lock function.
This mode is used when the transmitter is lost.
- All the following registration procedures must be performed in order.

Part 1:




Part 2:




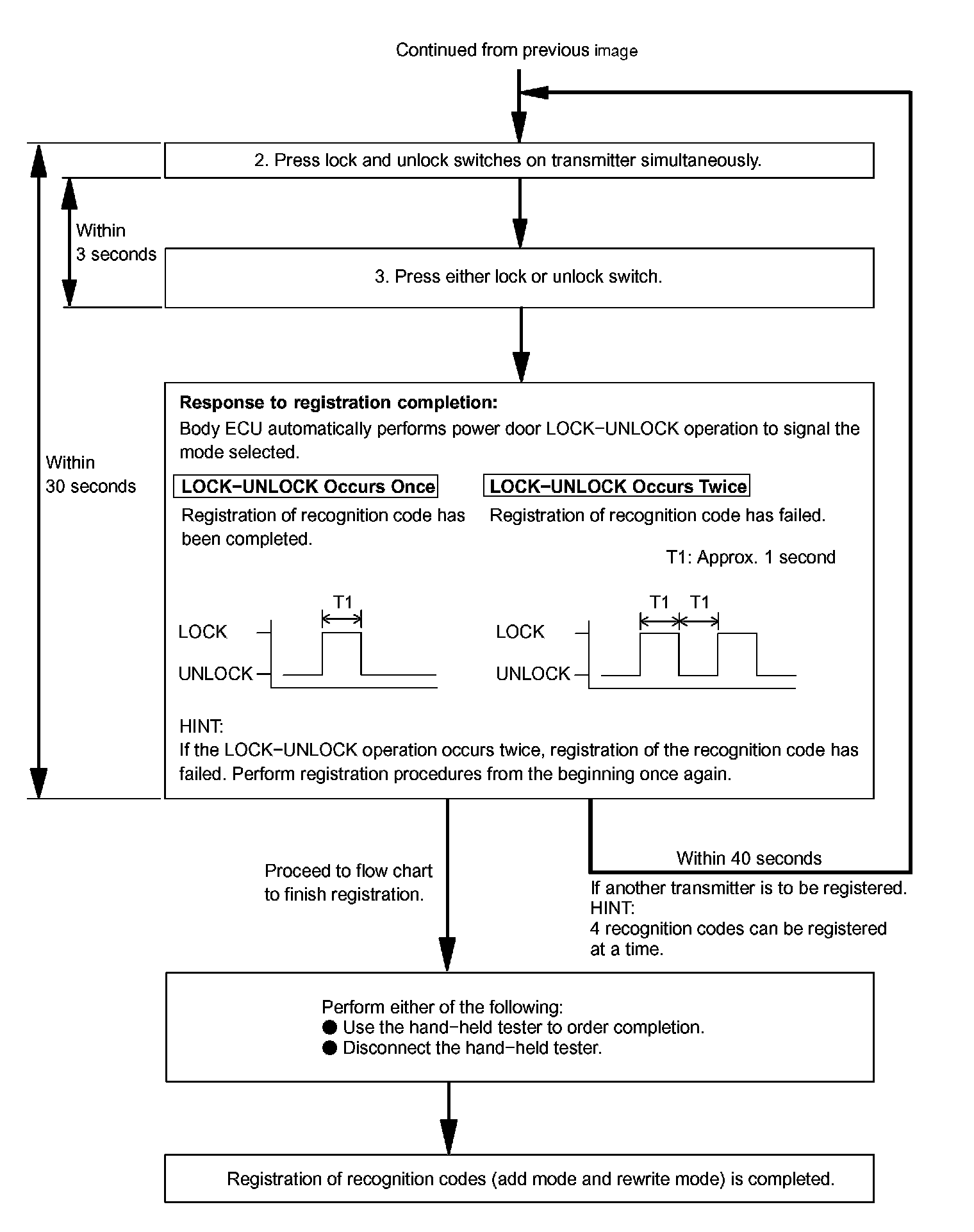
1. REGISTER RECOGNITION CODE
USING HAND-HELD TESTER:


Part 1:




Part 2:




Part 3:




Part 4:




2. REGISTER RECOGNITION CODE