Curiosii for ever!: Car repair manuals for everyone.

Registration

REGISTRATION

HINT:
- Register the recognition code if the door control transmitter or the door control receiver has been replaced.
- Add mode is used to register new recognition codes while still retaining codes already registered. This mode is used when a new transmitter is added. If the number of registered codes exceeds 4, the previously registered codes will be erased in order, starting from the oldest registered code.
- Rewrite mode is used to erase all the previously registered recognition codes in order to register all new recognition codes. This mode is used when the transmitter or the door control receiver is exchanged for a new one.
- Confirmation mode is used to confirm the number of recognition codes already registered before another recognition code is registered.
- Prohibition mode is used to erase all the registered codes and disable the wireless door lock function. This mode is used when the transmitter is lost.
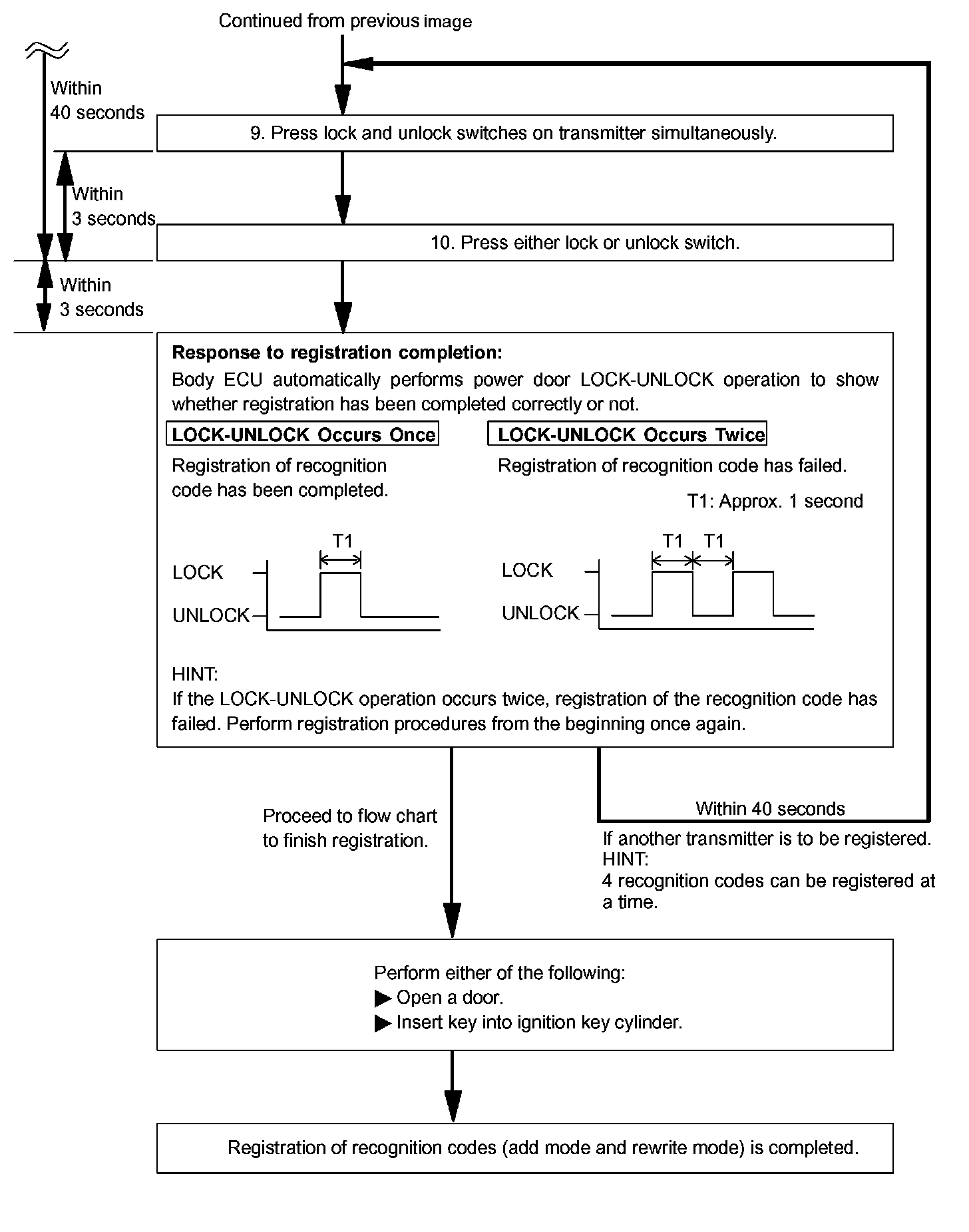
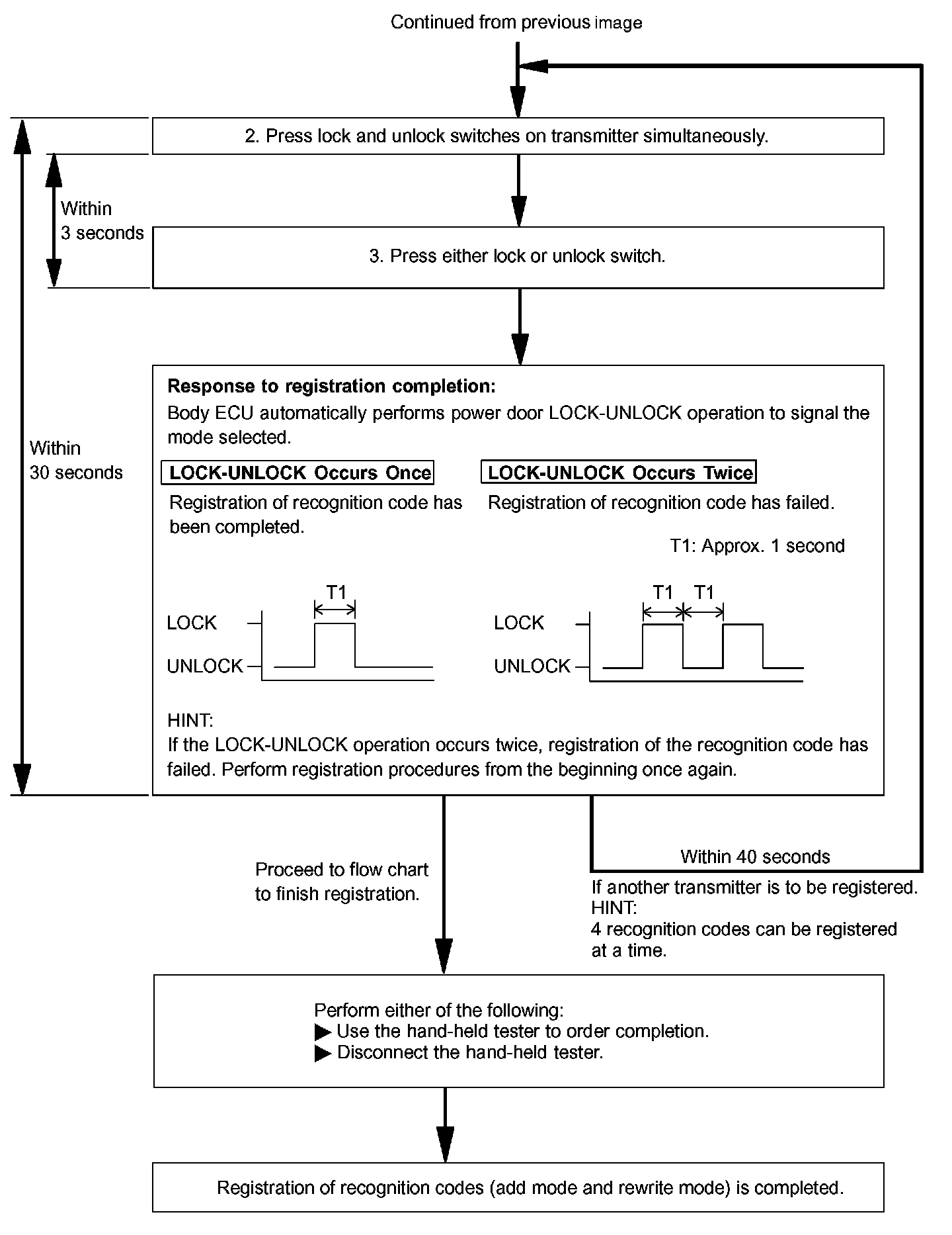
- All the following registration procedures must be performed in order.

Part 1:




Part 2:




1. REGISTER RECOGNITION CODE (USING HAND-HELD TESTER)

Part 1:




Part 2:




Part 3:




Part 4:




2. REGISTER RECOGNITION CODE (MANUAL OPERATION)