Curiosii for ever!: Car repair manuals for everyone.

Registration

REGISTRATION

1. DESCRIPTION OF REGISTRATION

HINT:
- Smart key code is the same as recognition codes for the wireless transmitter. Registering a smart key code enables both the smart key system and the wireless door lock control system to be operated.
- Code registration is necessary when the smart ECU or smart key is replaced with a new one.

a. Select the operation mode from the following:
- New registration mode (when smart ECU is replaced):
New registration mode is used when the smart ECU is replaced with a new ECU.
- Add mode:
Add mode is used when a new key is added.
- Erasure mode:
Erasure mode is used to erase all the key codes except for the code for the master key that is used during erasure mode. Use this mode when a key is lost.
- Reset mode:
Reset mode is used to reset all the key codes (including master key). Use this mode when all keys are lost.

b. Perform the code registration and the code erasure according to the flowcharts (see step 2 and 3).

HINT: Up to 5 master keys can be registered in the smart ECU.

c. Register a new key number or change the key number according to the flowcharts (see step 4 and 5).
When the smart ECU is replaced or all the key cylinders are replaced, be sure to register a new key number or change the key number in the smart ECU.

HINT: A key number is a 5 digit code stamped on the key number plate.

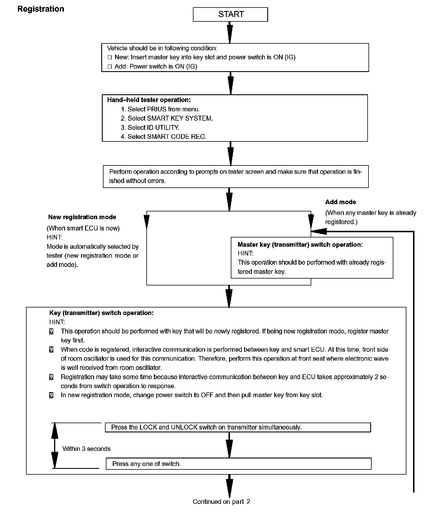
Part 1:




Part 2:




2. REGISTRATION OF NEW AND ADDITIONAL SMART KEY CODE
a. Register a smart key code by using the hand-held tester.

HINT:
- A brief outline of procedures for key code registration is shown. For more detailed information, please refer to the hand-held tester screen's instructions.
- The number of currently registered codes can be checked on the first screen of the SMART CODE REG option.




3. ERASURE OF SMART KEY CODE
a. Erase the smart key codes using the hand-held tester.

HINT: A brief outline of procedures for key code erasure is shown. For more detailed information, please refer to the hand-held tester screen's instructions.




4. RESET OF SMART KEY CODE
a. Reset the smart key codes using the hand-held tester.

HINT:
- A brief outline of procedures for key code reset is shown. For more detailed information, please refer to the hand-held tester screen's instructions.
- SEED NUMBER is a 6 digit code.
- PASS-CODE NUMBER is a 6 digit code.
- Reset mode will take approximately 16 minutes to complete.