Curiosii for ever!
: Car repair manuals for everyone.
Home
>>
Toyota
>>
2004
>>
Matrix 2WD L4-1.8L (2ZZ-GE)
>>
Repair and Diagnosis
>>
Technical Service Bulletins
>>
Recalls
>>
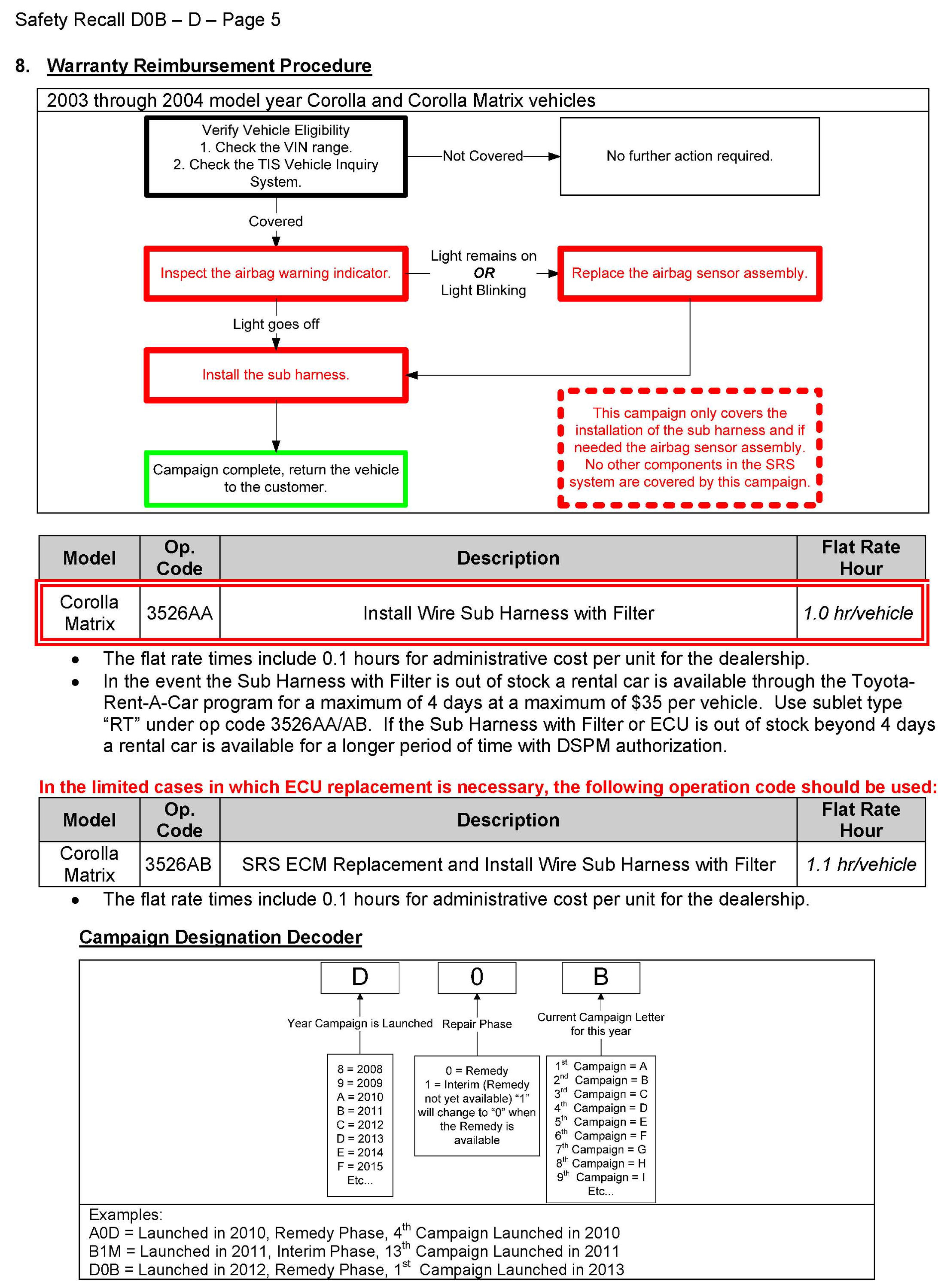
Recall - SRS Control Module Sub-Harness Installation
>>
Dealer Letter
Dealer Letter