Curiosii for ever!: Car repair manuals for everyone.

Engine Torque and Service Data

STANDARD BOLT HOW TO DETERMINE BOLT STRENGTH:




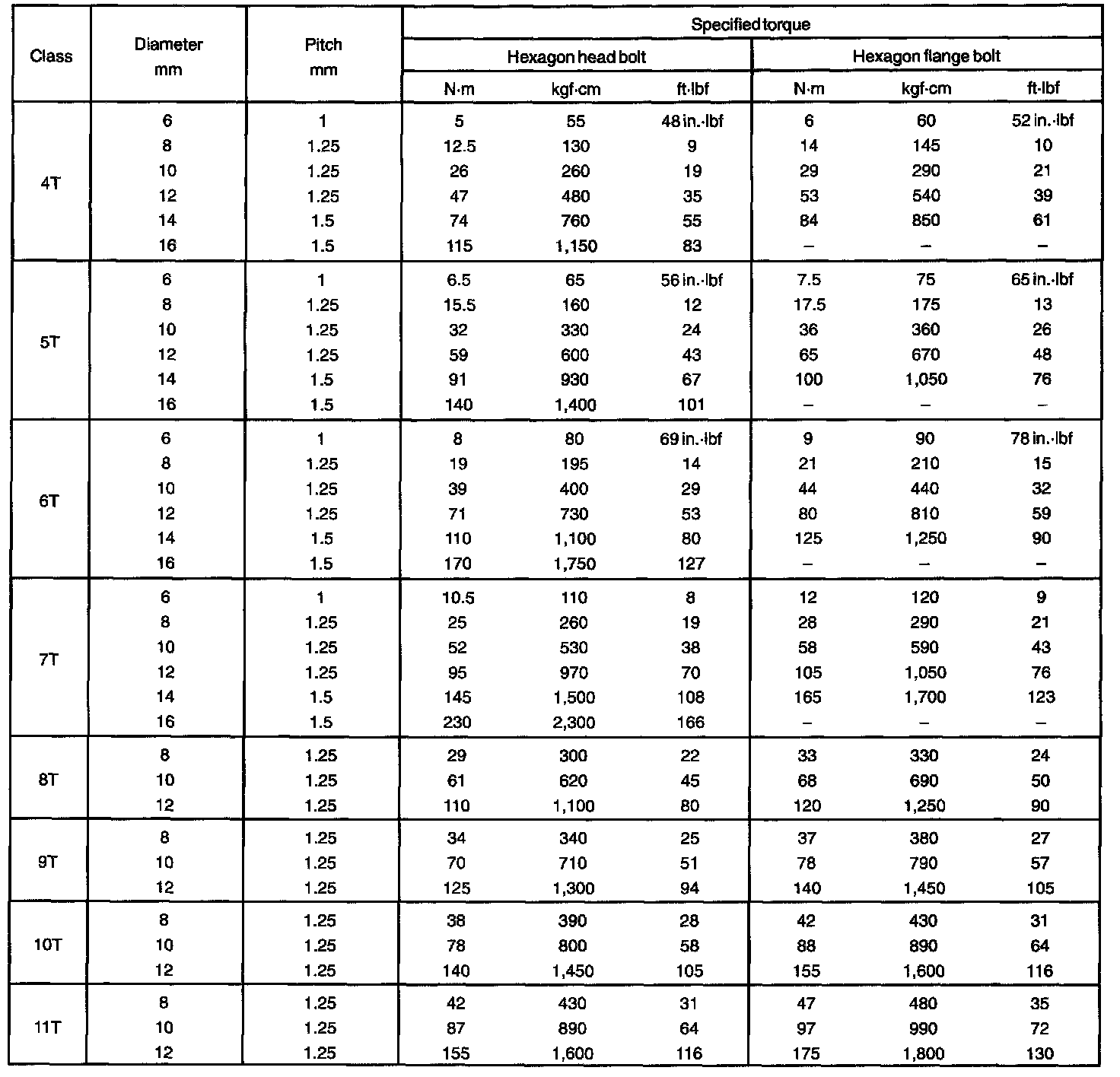
SPECIFIED TORQUE FOR STANDARD BOLTS:




HOW TO DETERMINE NUT STRENGTH:




ENGINE MECHANICAL (1MZ-FE) SERVICE DATA:




ENGINE MECHANICAL (1MZ-FE) SERVICE DATA:




ENGINE MECHANICAL (1MZ-FE) SERVICE DATA:




TORQUE SPECIFICATION:




TORQUE SPECIFICATION: