Curiosii for ever!: Car repair manuals for everyone.

Keyless Entry Receiver: Service and Repair

REPLACE DOOR CONTROL RECEIVER AND TRANSMITTER

NOTE: When replacing the door control receiver and transmitter, registration of recognition code is necessary because they are provided as a single components.

a. Select the operation mode to perform from the following operation modes.
- Rewrite mode
- Confirmation mode

HINT:
- The rewrite mode is used to erase all the previously registered codes and register only new recognition codes.
- The confirmation mode is for confirming how many recognition codes are already registered before you rewrite recognition codes.

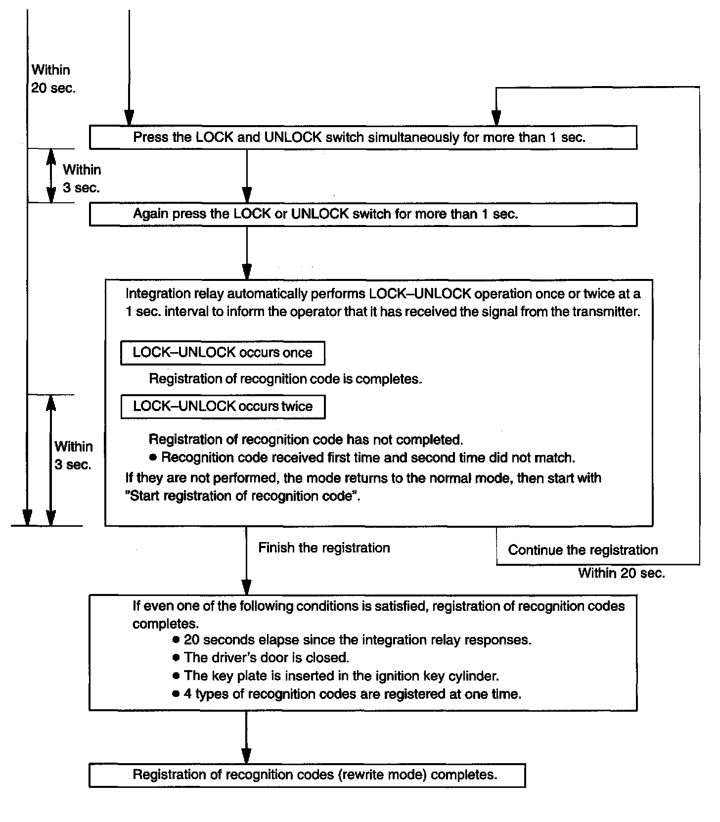
b. Follow the chart to register the transmitter recognition code at the wireless door lock control receiver.

Part 1:




Part 2:




Part 3:






HINT:
- When procedure is out of the specified, the operation returns to the normal operation.
- Maximum 4 recognition codes can be registered.