Curiosii for ever!
: Car repair manuals for everyone.
Home
>>
Toyota
>>
2002
>>
Avalon XLS V6-3.0L (1MZ-FE)
>>
Repair and Diagnosis
>>
Specifications
>>
Mechanical Specifications
>>
Automatic Transmission/Transaxle
>>
System Specifications
System Specifications
NOTE:
This article contains corrected data processed from TSB# PG001-05.
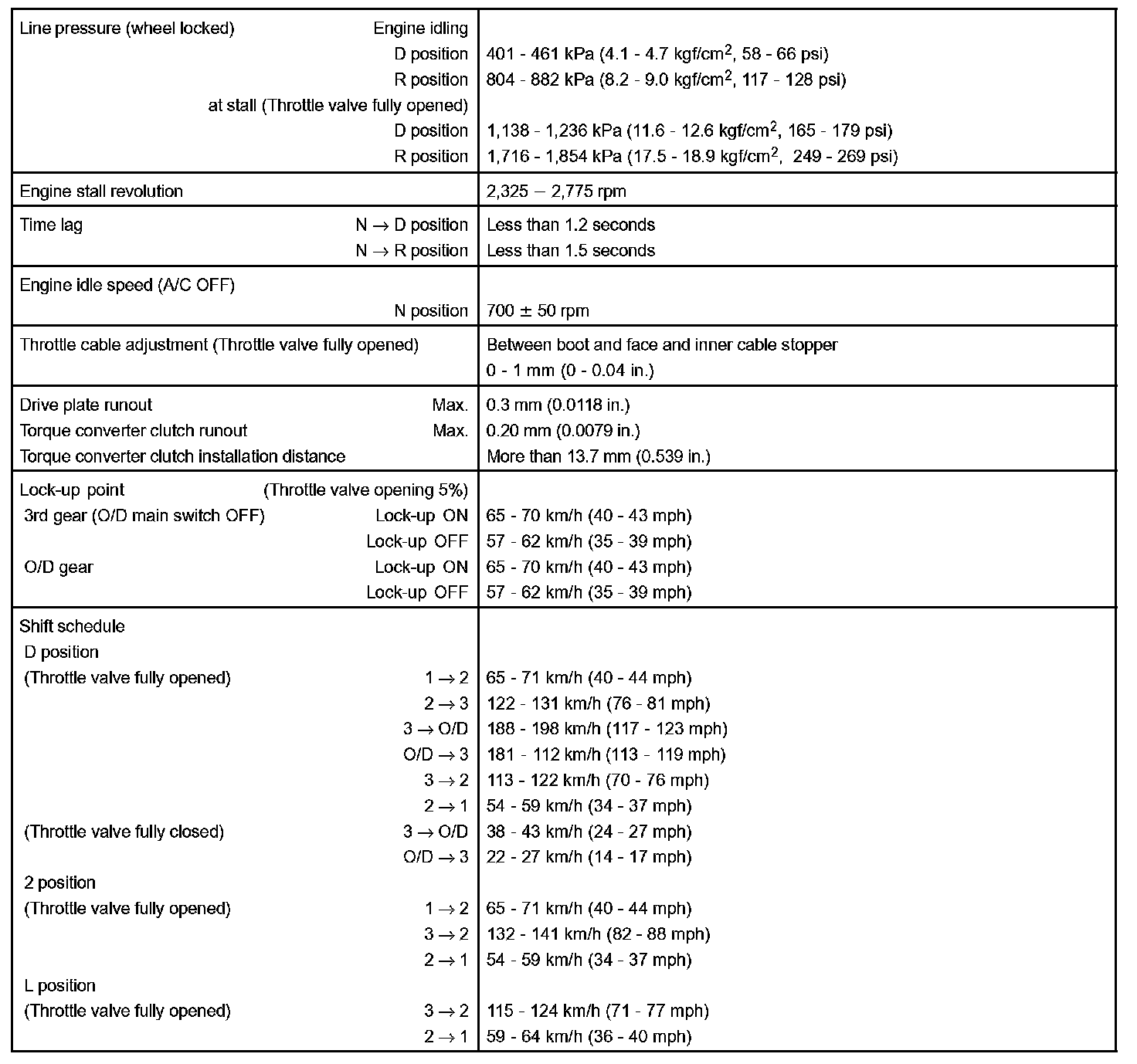
AUTOMATIC TRANSAXLE SERVICE DATA:
TORQUE SPECIFICATION:
TORQUE SPECIFICATION: