Curiosii for ever!
: Car repair manuals for everyone.
Home
>>
Toyota
>>
2001
>>
Avalon XL V6-3.0L (1MZ-FE)
>>
Repair and Diagnosis
>>
Specifications
>>
Mechanical Specifications
>>
Transmission and Drivetrain
>>
Automatic Transmission/Transaxle
>>
System Specifications
>>
Service Data
Service Data
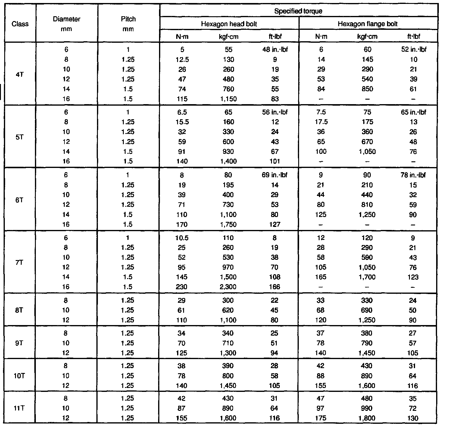
SERVICE DATA
TORQUE SPECIFICATIONS