Curiosii for ever!: Car repair manuals for everyone.

Factory Installed Keyless Entry

1. REPLACE TRANSMITTER (LITHIUM) BATTERY

NOTE: Special caution should be taken for handling each component as they are precision electronic components.




a. Using a screwdriver, remove the cover.

NOTE: Do not pry out the cover forcibly.

HINT: Push the cover with a finger as shown in the illustration, so that there becomes clearance, then pry out the cover from that clearance.

b. Remove the transmitter.
c. Remove the battery (lithium battery).

NOTE:
- Do not push the terminals with a finger.
- If prying up the battery (lithium battery) forcibly to remove, the terminals are deformed.
d. Install a battery (lithium battery) as shown in the illustration.

NOTE: Face the battery upward. Take care not to deform the terminals.

e. Assemble the transmitter to the cover.

2. REPLACE DOOR CONTROL RECEIVER AND TRANSMITTER
a. Select the operation mode to perform from the following operation modes.
- Rewrite mode
- Confirmation mode

HINT:
- The rewrite mode is used to erase all previously registered codes and register only new recognition codes.
- The confirmation mode is for confirming how many recognition codes are already registered before you rewrite recognition codes.

Part 1 Of 3:




Part 2 Of 3:




Part 3 Of 3:




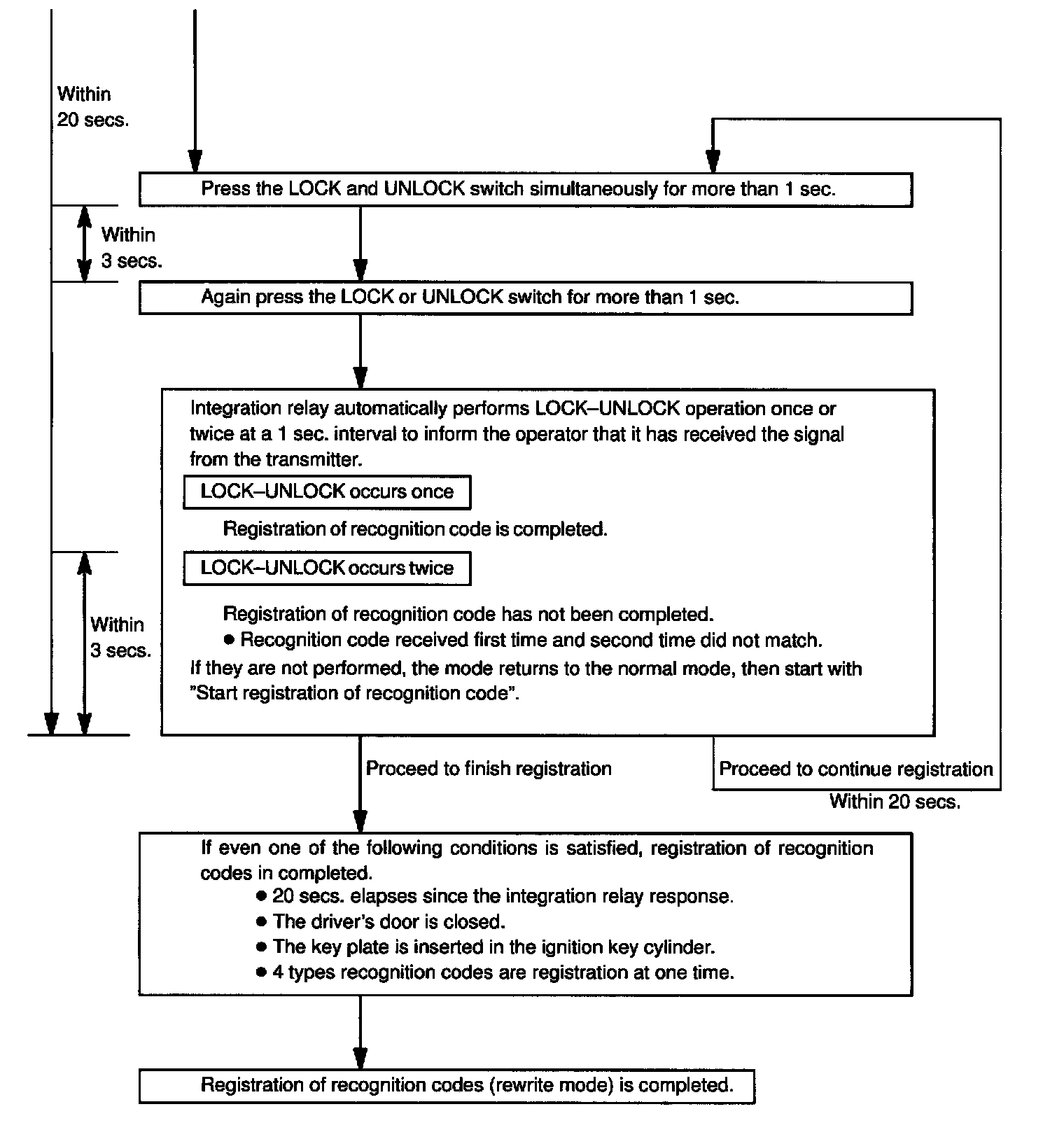
b. Follow the chart on the following page to register the transmitter recognition code at the wireless door lock control receiver.

HINT:
- When procedure is out of the specified, the operation returns to normal operation.
- Maximum 4 recognition codes can be registered.