Curiosii for ever!: Car repair manuals for everyone.

Symptom Confirmation and Trouble Code Check

The diagnostic system in this vehicle fulfills various functions. By using these check functions, the problem areas can be narrowed down quickly and troubleshooting can be performed effectively.

- The first function is the Diagnostic Trouble Code Check in which a malfunction in the signal circuits to the ECU is stored in code in the ECU memory at the time occurrence, to be output by the technician during troubleshooting.

- Another function is the Input Signal Check which checks if the signals from various switches are sent to the ECU correctly.

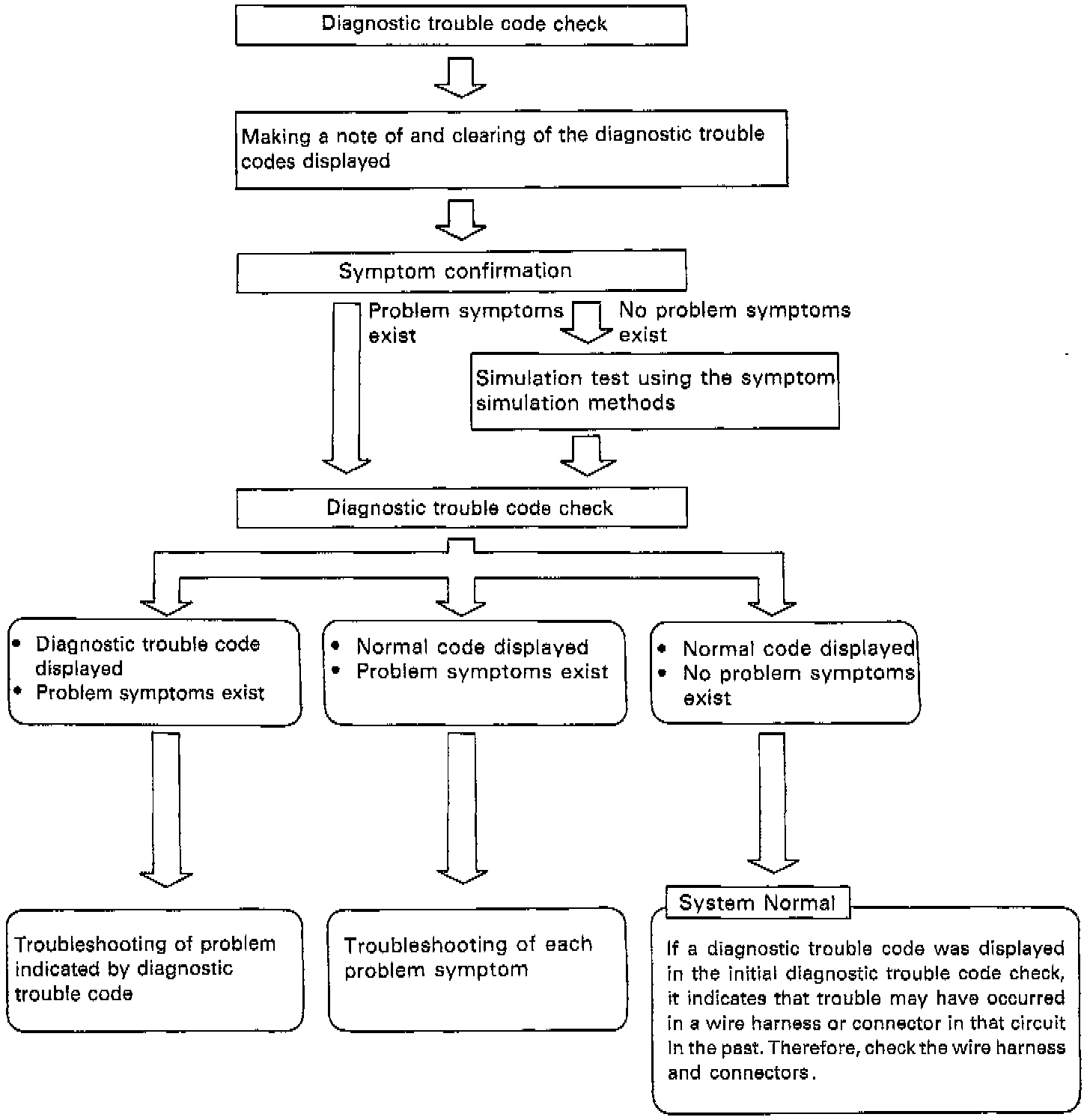
Diagnostic Trouble Code Check Procedure:




In the Diagnostic Trouble Code Check, it is very important to determine whether the problem indicated by the diagnostic trouble code is still occurring or occurred in the past but returned to normal at present. In addition, it must be checked in the problem symptom check whether the malfunction indicated by the diagnostic trouble code is directly related to the problem symptom or not. For this reason, the diagnostic trouble codes should be checked before and after the symptom confirmation to determine the current conditions, as shown in the table above. If this is not done, it may depending on the case, result in unnecessary troubleshooting for normally operating systems, thus making it more difficult to locate the problem, or in repairs not pertinent to the problem. Therefore, always follow the procedure in correct order and perform the diagnostic trouble code check.

Taking into account the above points, a flow chart showing how to proceed with troubleshooting using the Diagnostic Trouble Code Check is shown below. This flow chart shows how to utilize the Diagnostic Trouble Code Check effectively, then by carefully checking the results, indicates how to proceed either to diagnostic trouble code troubleshooting or to troubleshooting of problem symptoms.