Curiosii for ever!: Car repair manuals for everyone.

A/C System Performance Inspection

A/C System Performance Inspection

1. Confirm that vehicle and environmental conditions are as follows.
- Vehicle is put indoors.
- Ambient temperature is within 25 - 35 °C (77 - 95 °F).
- Relative humidity is within 30 - 70%.
- There is no wind indoors.
- HVAC unit is normal.
- Blower motor is normal.
- There is no air leakage from air ducts.
- Condenser fins are clean.
- HVAC air filter is not clogged with dirt and dust.
- Battery voltage is 11 V or more (battery is in good condition).
- Radiator cooling fan operates normally.

2. Make sure that high pressure valve (1) and low pressure valve (2) of manifold gauge are firmly closed.
3. Connect high pressure charging hose (3) to high pressure service valve (5) on vehicle and low pressure charging hose (4) to low pressure service valve (6).






4. Warm up engine to the normal operating temperature and keep it at the specified idle speed.
5. Turn on A/C switch, and set blower speed switch at maximum speed position, driver side and passenger side temperature selector at maximum cold position, "MODE" (air flow) switch at "VENT" position, air intake switch at recirculation position and side, center and rear ventilation louver at open. (Confirm that A/C compressor and radiator cooling fan are working.)
6. Wait for 10 minutes to stabilize the A/C operation.
7. Open all door windows, front doors and engine hood.
8. With about 20 mm (0.78 in.) of dry bulb thermometer (1) put right in front of center ventilation louver and a wet and dry bulb thermometer (2) near air inlet of HVAC unit.






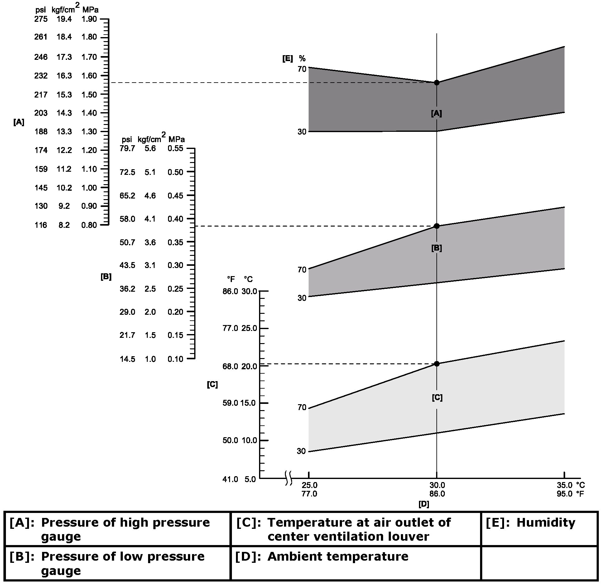
9. Check for each pressure of low side and high side if it is within shaded range of graph. When diagnosing troubles of abnormal pressure on the low side and high side for each pressure more specifically, refer to Trouble Diagnosis for Abnormal Pressure Trouble Diagnosis For Abnormal Pressure.

NOTE: Pressure registered on gauge varies with ambient temperature. Therefore, use the graph when determining if pressures are normal or not.

Low side and high side pressure example (Gauges should read the following figures when ambient temperature is 30 °C (86 °F))











10. Check relationship between inlet port temperature and outlet port temperature using the graph. For example, if temperature near air inlet of HVAC unit is 30 °C (86 °F) and the one at air outlet of center ventilation louver is 20.1 °C (68.2 °F), their crossing point is within acceptable range as shown in the graph. In this case, cooling performance is satisfactory and proper.