Curiosii for ever!
: Car repair manuals for everyone.
Home
>>
Suzuki
>>
2007
>>
SX4 2WD L4-2.0L
>>
Repair and Diagnosis
>>
A L L Diagnostic Trouble Codes ( DTC )
>>
Testing and Inspection
>>
Diagnostic Trouble Code Descriptions
>>
Control Systems
>>
Body Electrical Control System
Body Electrical Control System
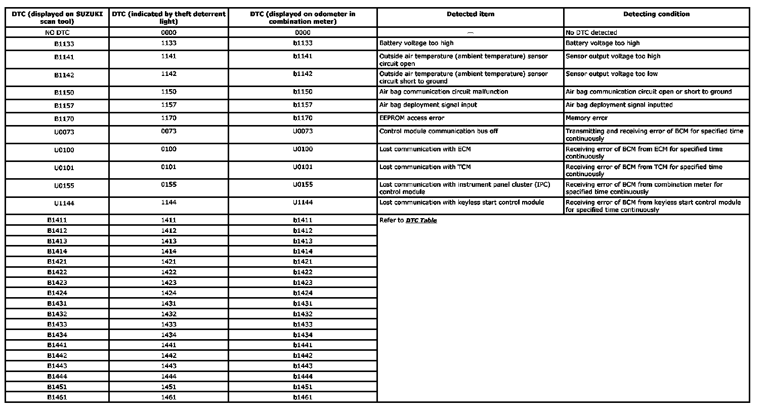
B1133-B1461: