Curiosii for ever!: Car repair manuals for everyone.

System Specifications




Service Data and Specifications

General Specifications






Drive Belt






Intake Manifold Collector, Intake Manifold and Exhaust Manifold

Unit: mm (in)






Spark Plug





*: Always check with the Parts Department for the latest parts information.

Camshaft and Camshaft Bearing

Unit: mm (in)






*1: Total indicator reading

Valve Seal

Unit: mm (in)






Valve Lifter

Unit: mm (in)






Valve Clearance

Unit: mm (in)






*: Approximately 80 °C (176 °F)

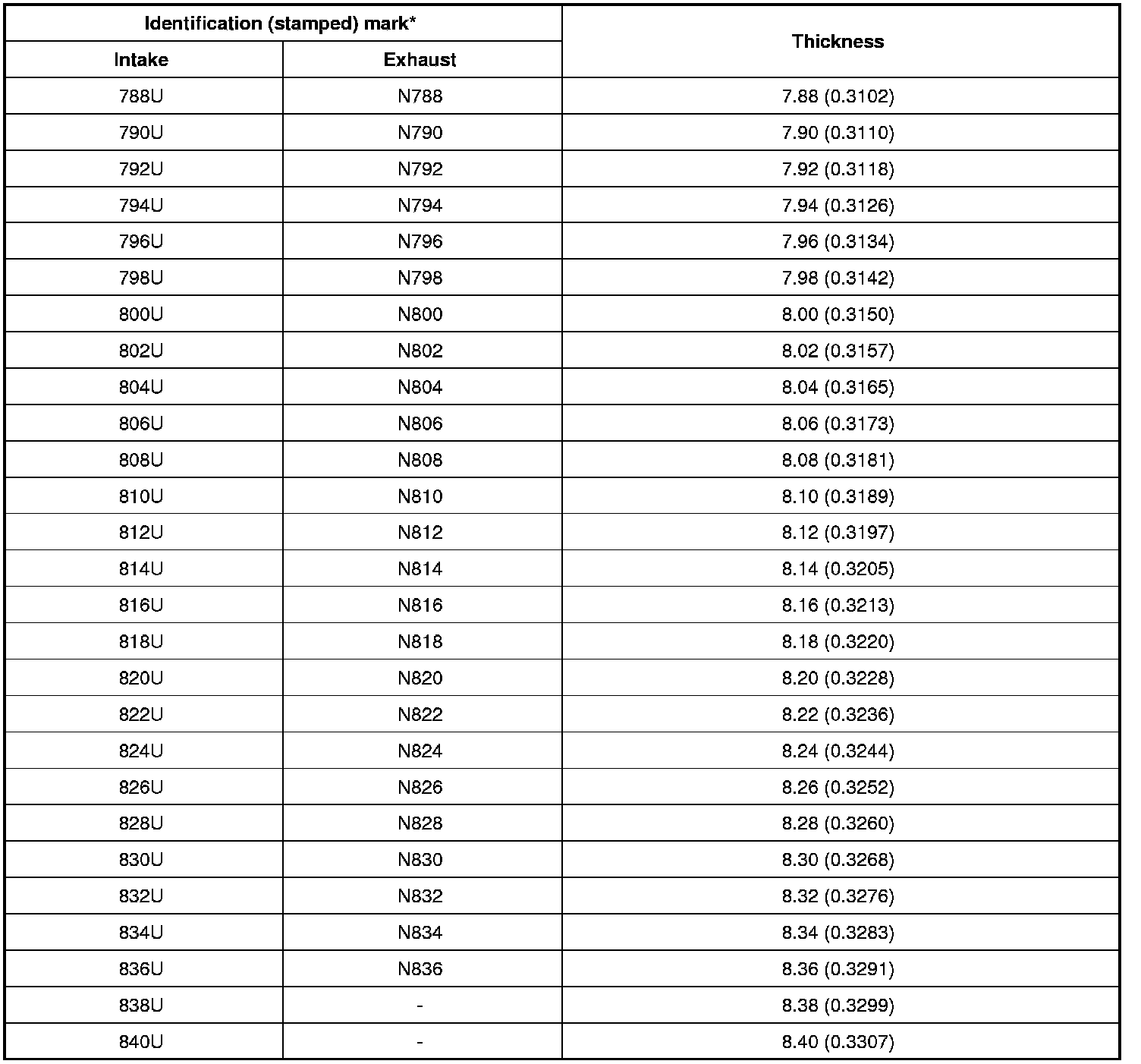
Available Valve Lifter

Unit: mm (in)










*: Always check with the Parts Department for the latest parts information.

Cylinder Head

Unit: mm (in)






Valve Dimensions

Unit: mm (in)






Valve Guide

Unit: mm (in)






Valve Seat

Unit: mm (in)






*1: Diameter made by intersection point of conic angles (a1) and (a2)

*2
: Diameter made by intersection point of conic angles (a2) and (a3)

*3: Machining data

Valve Spring






Spark Plug Tube

Unit: mm (in)






Cylinder Block

Unit: mm (in)






Piston, Piston Ring and Piston Pin

Available Piston

Unit: mm (in)






*: Always check with the Parts Department for the latest parts information.

Piston Ring

Unit: mm (in)






Piston Pin

Unit: mm (in)






*: Always check with the Parts Department for the latest parts information.

Connecting Rod

Unit: mm (in)






1: Always check with the Parts Department for the latest parts information.

2: After installing in connecting rod

Crankshaft

Unit: mm (in)






*: Total indicator reading

Main Bearing









*: Always check with the Parts Department for the latest parts information.

Undersize

Unit: mm (in)






Main Bearing Oil Clearance

Unit: mm (in)






*: Actual clearance

Connecting Rod Bearing





*: Always check with the Parts Department for the latest parts information.

Undersize

Unit: mm (in)






Connecting Rod Bearing Oil Clearance

Unit: mm (in)






*: Actual clearance