System Specifications
Service Data and Specifications
General Specifications
Drive Belt
Intake Manifold Collector, Intake Manifold and Exhaust Manifold
Unit: mm (in)
Spark Plug
*: Always check with the Parts Department for the latest parts information
Camshaft and Camshaft Bearing
Unit: mm (in)
*1: Total indicator reading
Valve Seal
Unit: mm (in)
Valve Lifter
Unit: mm (in)
Valve Clearance
Unit: mm (in)
*: Approximately 80°C (176°F)
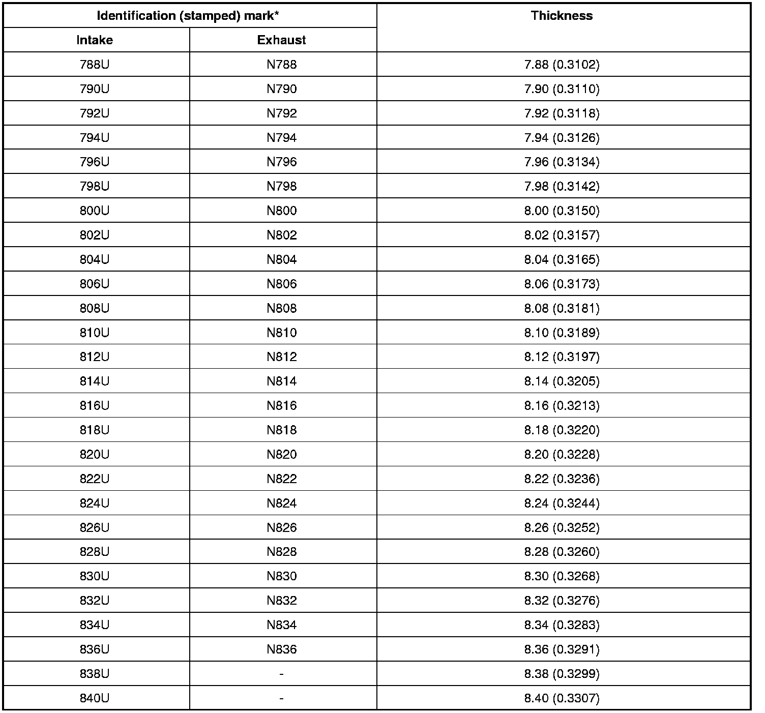
Available Valve Lifter
Unit: mm (in)
*: Always check with the Parts Department for the latest parts information
Cylinder Head
Unit: mm (in)
Valve Dimensions
Unit: mm (in)
Valve Guide
Unit: mm (in)
Valve Seat
Unit: mm (in)
*1: Diameter made by intersection point of conic angles (α1) and (α2)
*2
: Diameter made by intersection point of conic angles (α2) and (α3)
*3: Machining data
Valve Spring
Spark Plug Tube
Unit: mm (in)
Cylinder Block
Unit: mm (in)
*: Always check with the Parts Department for the latest parts information.
Piston, Piston Ring and Piston Pin
Available Piston
Unit: mm (in)
*: Always check with the Parts Department for the latest parts information
Piston Ring
Unit: mm (in)
Piston Pin
Unit: mm (in)
*: Always check with the Parts Department for the latest parts information
Connecting Rod
Unit: mm (in)
1: Always check with the Parts Department for the latest parts information
2: After installing in connecting rod
Crankshaft
Unit: mm (in)
1: Always check with the Parts Department for the latest parts information
2: Total indicator reading
Main Bearing
*: Always check with the Parts Department for the latest parts information
Undersize
Unit: mm (in)
Main Bearing Oil Clearance
Unit: mm (in)
*: Actual clearance
Connecting Rod Bearing
*: Always check with the Parts Department for the latest parts information
Undersize
Unit: mm (in)
Connecting Rod Bearing Oil Clearance
Unit: mm (in)
*: Actual clearance