Inflatable Restraint Sensing and Diagnostic Module Scan Tool Information
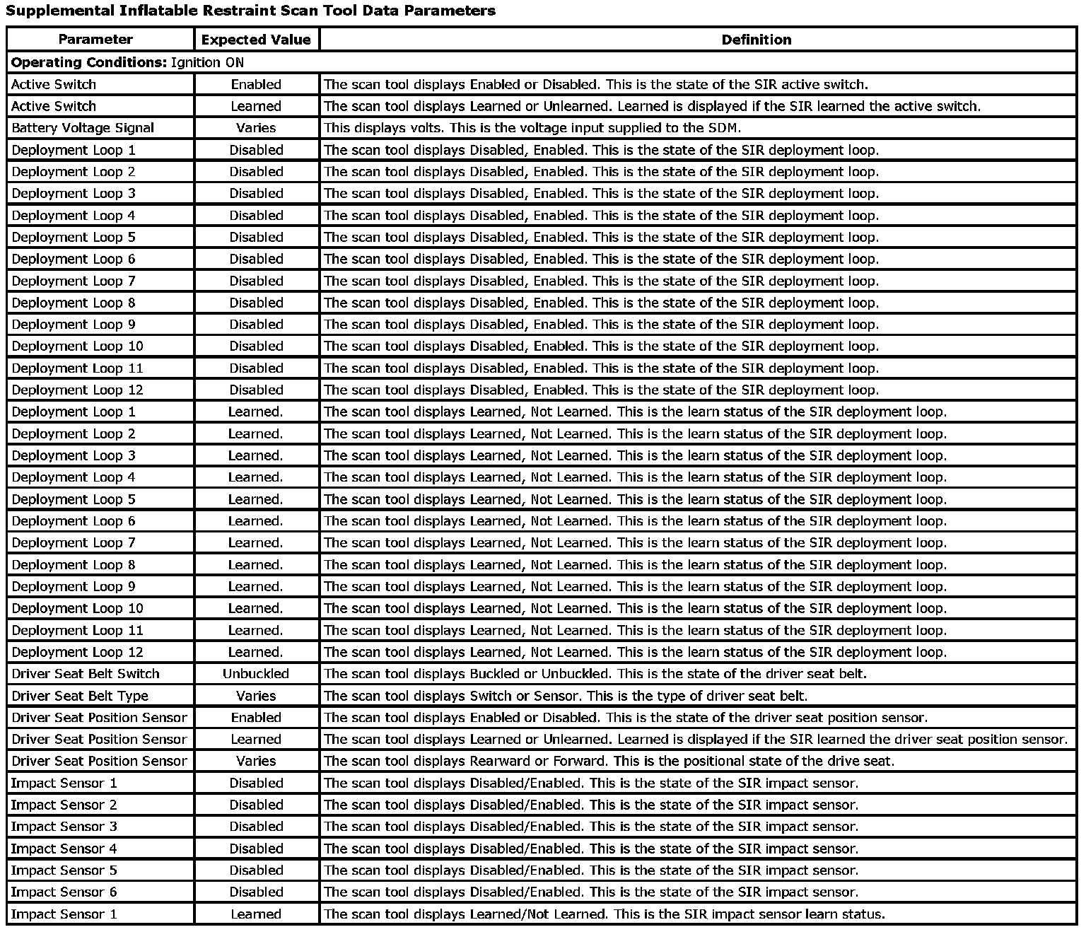
Inflatable Restraint Sensing And Diagnostic Module Scan Tool Information (Part 1):
Inflatable Restraint Sensing And Diagnostic Module Scan Tool Information (Part 2):
Inflatable Restraint Sensing And Diagnostic Module Scan Tool Information (Part 3):
Supplemental Inflatable Restraint Scan Tool Output Controls: