Curiosii for ever!
: Car repair manuals for everyone.
Home
>>
Suzuki Truck
>>
2009
>>
Equator 2WD V6-4.0L
>>
Repair and Diagnosis
>>
Starting and Charging
>>
Power and Ground Distribution
>>
Power Distribution Module
>>
Testing and Inspection
>>
Initial Inspection and Diagnostic Overview
>>
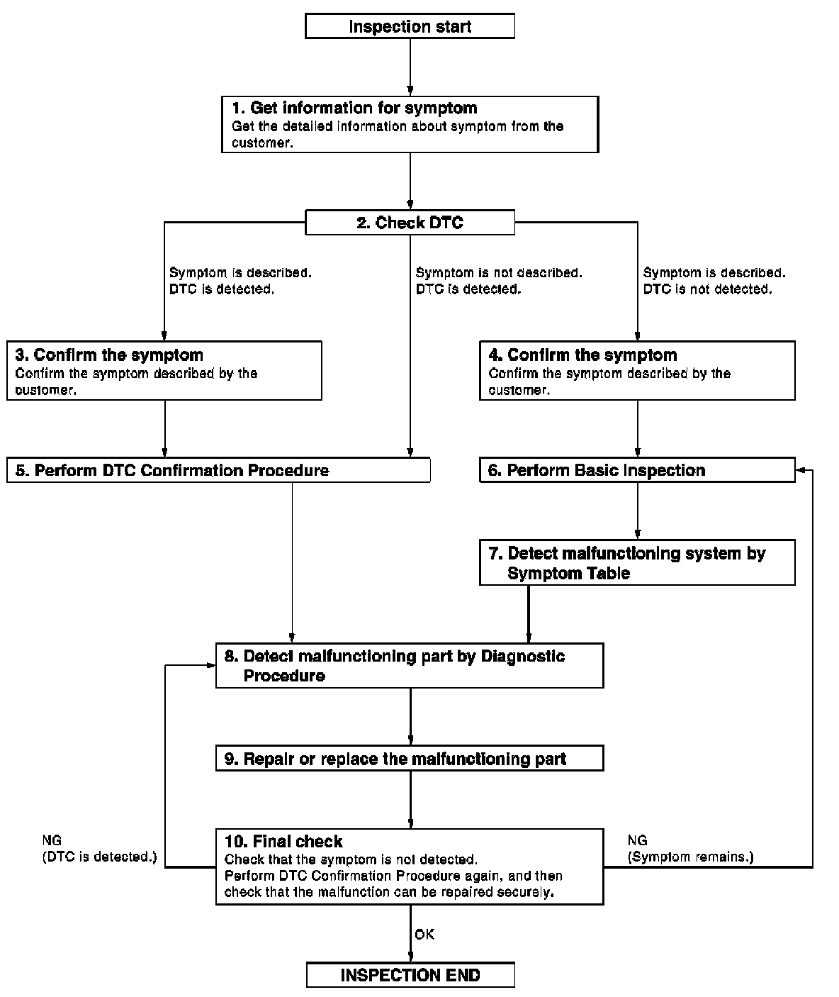
Diagnosis and Repair Work Flow
Diagnosis and Repair Work Flow
Diagnosis and Repair Work Flow
OVERALL SEQUENCE
Diagnosis and Repair Workflow:
DETAILED FLOW
Step 1-5:
Step 6-10: