Curiosii for ever!: Car repair manuals for everyone.

Inflatable Restraint Sensing and Diagnostic Module Scan Tool Information

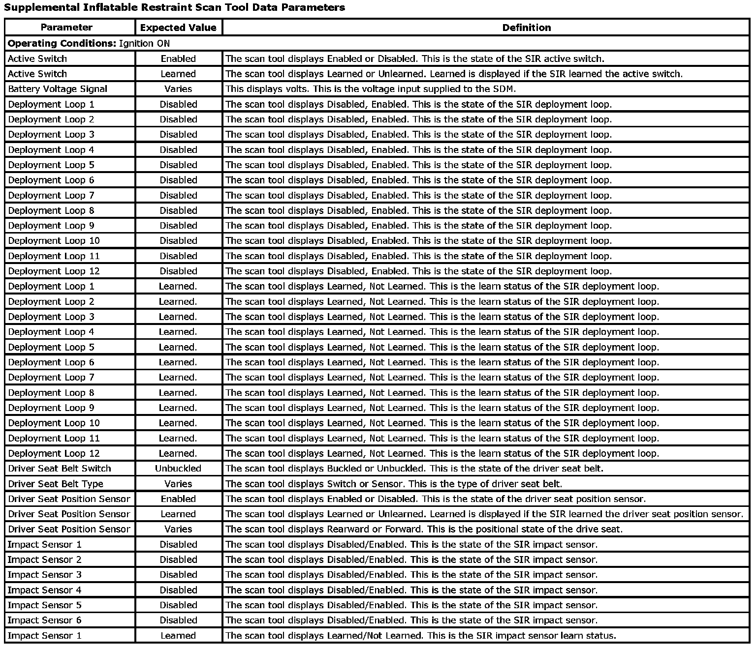
Inflatable Restraint Sensing And Diagnostic Module Scan Tool Information (Part 1):



Inflatable Restraint Sensing And Diagnostic Module Scan Tool Information (Part 2):



Inflatable Restraint Sensing And Diagnostic Module Scan Tool Information (Part 3):



Supplemental Inflatable Restraint Scan Tool Output Controls: