Curiosii for ever!
: Car repair manuals for everyone.
Home
>>
Suzuki Truck
>>
2007
>>
XL-7 2WD V6-3.6L
>>
Repair and Diagnosis
>>
Specifications
>>
Mechanical Specifications
>>
Engine
>>
System Specifications
>>
Engine Mechanical Specifications
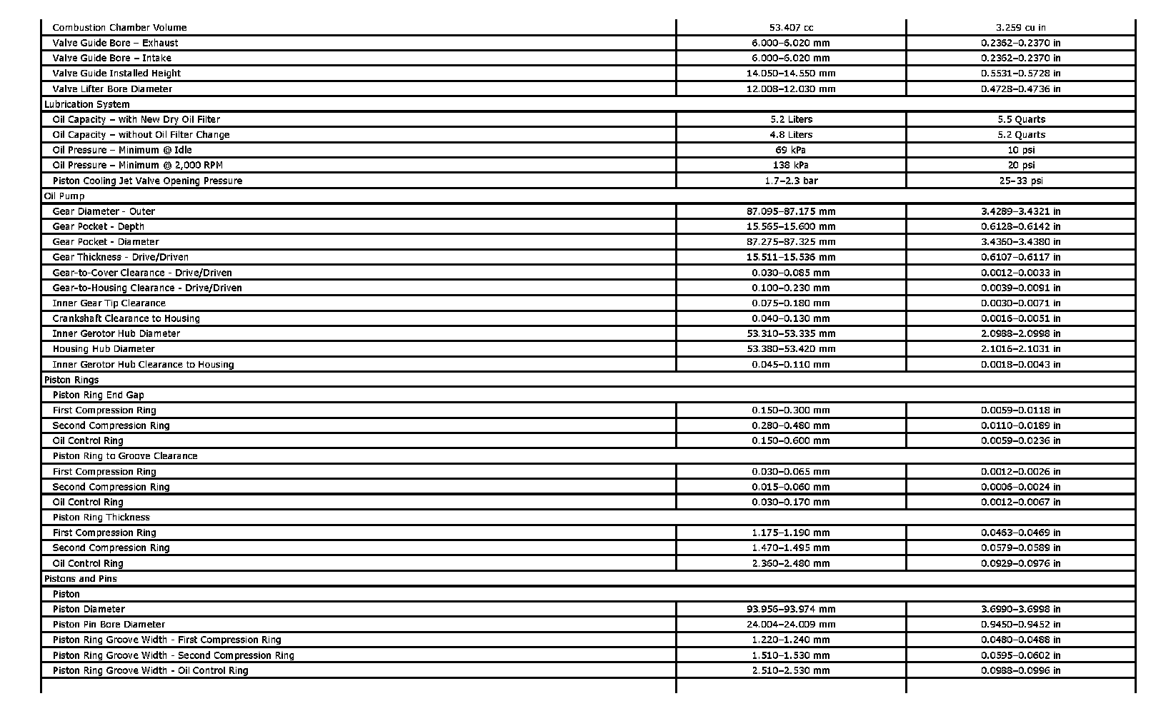
Engine Mechanical Specifications
Engine Mechanical Specifications