Curiosii for ever!: Car repair manuals for everyone.

P0457

DTC P0457 - EVAPORATIVE EMISSION CONTROL SYSTEM LEAK DETECTED (FUEL CAP LOOSE/OFF)

OUTLINE OF DIAGNOSIS




In this system diagnosis, filter tank pressure. And leakage and normality & abnormality of valve operation are judged by monitoring the pressure change status using the fuel tank pressure sensor. 0.04 inch diagnosis is performed in the order of Mode Z, Mode A, Mode B, Mode C, Mode D. 0.O2 inch diagnosis is performed in the order of Mode A, Mode B, Mode C, Mode D.




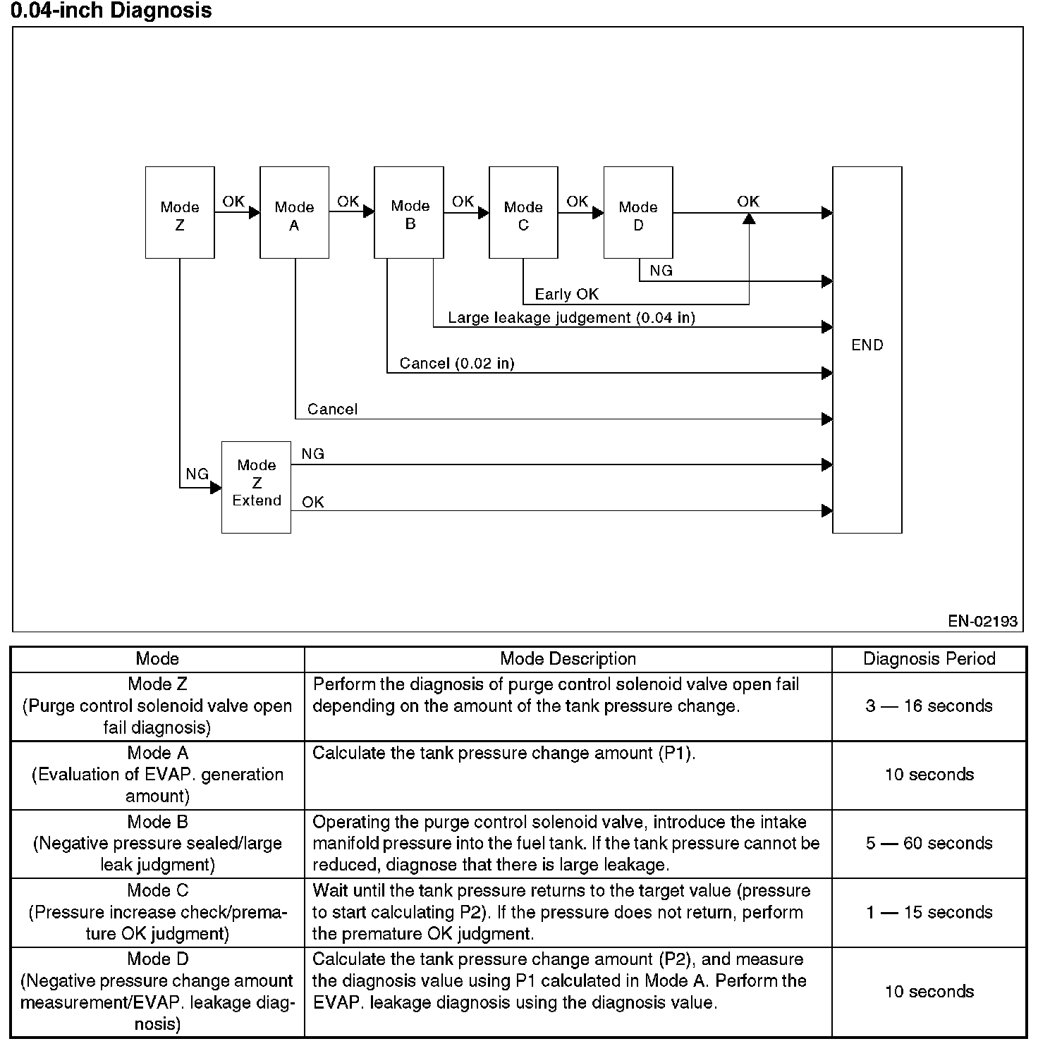
- 0.04-inch Diagnosis




- 0.02-inch Diagnosis




- Mode table for Evaporative Emission Control System diagnosis

COMPONENT DESCRIPTION




- Pressure Control Solenoid Valve
Pressure control solenoid valve maintains the fuel tank pressure equal to the atmospheric air pressure. Normally, the solenoid is set to OFF, and the valve mechanically opens and closes in accordance with the difference between the tank pressure and atmospheric air pressure, and the tank pressure and canister pressure. During the diagnosis, the valve is forcibly opened by setting the solenoid to ON.










- Valve Operation and Air Flow
As in the X parts below, there are the area with atmospheric air pressure above the diaphragm and the area with tank pressure below the diaphragm. Also, as in the Y parts below, there are the area with tank pressure above the diaphragm and the area with canister pressure below the diaphragm. In the table the air flow from each port in accordance with pressure difference is shown with the atmospheric air pressure port A, tank pressure port B and canister pressure port C.




- When Solenoid is ON




- Drain valve
Drain valve controls the ambient air to be introduced to the canister. Normally the solenoid is set to OFF and the valve is open. The valve is closed when the solenoid is set to ON only at the time of diagnosis.




- Tank Pressure Switching Solenoid
Fuel tank sensor control valve is connected to fuel tank pressure sensor and opened to atmosphere.
In normal condition, fuel tank sensor control valve is OFF, and circuit of fuel pressure sensor is open to atmosphere. If fuel tank sensor control valve is ON, then circuit is closed.




- Purpose of this solenoid
Fuel tank pressure sensor detects the difference between the atmospheric air pressure and the tank pressure, and the ECM monitors the pressure difference.
Even if the tank pressure is constant, the atmospheric air pressure varies depending on the driving height, and the pressure signal transmitted to ECM will change.




Especially, in the small leakage [0.5 mm (0.O2 inch)], minute change in the tank pressure has to be detected. This diagnosis period is long (approx. 29 seconds). And if the driving height changes during the diagnosis, the atmospheric air pressure changes. In this case, it becomes difficult to precisely detect the tank pressure variation, causing erroneous diagnosis. Therefore, using the atmospheric pressure switching solenoid, atmospheric air is sealed between the fuel tank pressure sensor and atmospheric pressure switching solenoid, maintaining the air pressure constant and enabling the detection of minute variation of tank pressure.

NOTE: ECM also has the atmospheric air pressure sensor, and always monitors atmospheric air. However, as the monitoring range is large, that is, 53.3 to 107 kPa (400 to 800 mmHg, 15.7 to 31.6 inHg), it is not suitable for detection of minute pressure variation.
In the case of small leakage diagnosis, the tank pressure variation is very small, that is, 0.13 to 0.26 kPa (1 to 2 mmHg, 0.04 to 0.08 inHg), and the fuel tank pressure sensor is equipped.







ENABLE CONDITION


GENERAL DRIVING CYCLE
- 0.04-inch Diagnosis
- Perform the diagnosis only once in 843 seconds or more after starting the engine constantly at 32 km/h (19.9 MPH) or more.
- Pay attention to the fuel temperature and fuel level.

- 0.O2-inch Diagnosis
- Perform the diagnosis in 335 seconds after starting the engine constantly at 68 km/h (42 MPH) or more, and perform OK/NG judgment.
- If OK/NG judgment is not possible, repeat the diagnosis.
- Pay attention to the fuel temperature and fuel level.

DIAGNOSTIC METHOD

- Diagnosing Function of Drain Valve and Purge Control Solenoid Valve
DTC
P0457 Evaporative Emission Control System Leak Detected (Fuel Cap Loose/Off)







- Purpose of Mode Z
When performing the leakage diagnosis of EVAP system, and CPC have to operate normally. Therefore, mode Z is used to diagnose the CPC open fixation.
If the CPC open fixation trouble is detected, the evaporation system leakage diagnosis is cancelled.




- DIAGNOSTIC METHOD
CCV closed fixation diagnosis and CPC open fixation diagnosis are performed in mode Z as shown in the figure.




- Normal




- Purge control solenoid valve open fixation

- Diagnosing Function of Purge Control Solenoid Valve [P0457]
By acting as the monitor of the fuel tank pressure in mode Z, functional diagnosis of a purge solenoid valve is performed.




Normality Judgment
Perform OK judgment in 3 seconds after starting Mode Z and move to Mode A if OK.




Abnormality Judgment
If OK judgment is not possible, prolong Mode Z (16 seconds), and judge NG when all of malfunction criterias are completed after 16 seconds considering the following conditions.
If the purge control solenoid valve open fixation NG judgment is performed, terminate the EVAP. diagnosis.
If OK/NG judgment of the purge control solenoid valve open fixation is not possible in Mode Z, cancel the EVAP.diagnosis.

- Leakage Diagnosis
DTC
P0442 Evaporative Emission Control System Leak Detected (Small Leak)
P0456 Evaporative Emission Control System Leak Detected (Very Small Leak)
P0457 Evaporative Emission Control System Leak Detected (Fuel Cap Loose/Off)

- DIAGNOSTIC METHOD
The diagnostic method consists of creating a sealed vacuum in the fuel tank and then determining the presence of leakage from the speed at which the tank internal pressure returns to atmospheric pressure.

Mode A; (Estimation of evaporation abundance)
The variation amount of this tank pressure P1 calculate. Move to Mode B after calculating P1.

Mode B; (Seal negative pressure)
Introduce the negative pressure of the intake manifold into the tank.

Approx. 0 -> -1.4 kPa (0 -> -10.5 mmHg, 0 -> -0.41 inHg) (0.04-inch diagnosis)
Approx. 0 -> -3.05 kPa (0 -> -22.875 mmHg, 0 -> -0.9 inHg) (0.O2-inch diagnosis)

Move to Mode C when reaching the pressure above (target pressure).
Then, if the tank pressure does not become negative, judge that there is large leakage in the system. In 0.04-inch diagnosis, judge that there is large leakage in 10 seconds and terminate the EVAP. diagnosis, cancel the diagnosis in 60 seconds. In 0.O2-inch diagnosis, cancel the diagnosis in 15 seconds.




Abnormality Judgment
Judge NG (large leakage) when the malfunction criteria is completed.

Mode C; (Check increasing pressure)




Close the purge control solenoid valve and stop the introduction of negative pressure. (Wait until returning to P2 calculation start tank pressure)
When returning to P2 calculation start tank pressure, move to Mode D.
Judge premature OK and move to Mode E when not returning in the determined period of time.

Mode D; (Measurement of negative pressure variation)
Monitor the tank pressure variation at Mode Z. In this case, the tank pressure increases (close to atmospheric pressure) because the evaporator is generated. However, if there is leakage, the pressure increases additionally. P2 means the variation amount of this tank pressure. After calculating P2, perform the small leakage diagnosis.

When Terminating Mode D




By assigning the variation values of tank pressure, P1 and P2, in the following formula, judge the system small leakage. If the calculated judgment value is larger than the threshold value, judge that there is a failure.
0.04-inch Diagnosis
Judge NG when the malfunction criteria is completed, and judge OK when the malfunction criteria is not completed.

- 0.O2-inch Diagnosis




Abnormality Judgment
Judge NG when the criteria are completed.




- Map 8 Limit of malfunction criteria for 0.O2-inch leak as Evap. diagnosis.







Normality Judgment
Judge OK when the criteria are completed.
If OK/NG judgment is not possible, repeat the diagnosis.




- 0.04-inch Diagnosis

DTC CLEAR CONDITION
- When the OK idling cycle was completed 40 times in a row
- When " Clear Memory " was performed

MALFUNCTION INDICATOR LIGHT CLEAR CONDITION
- When the OK driving cycle was completed 3 times in a row
- When " Clear Memory " was performed
FAIL SAFE
None

ECM OPERATION AT DTC SETTING
- Memorize the freeze frame data. (For test mode $02)
- Memorize the diagnostic value and trouble standard value. (For test mode $06)