Curiosii for ever!
: Car repair manuals for everyone.
Home
>>
Subaru
>>
1998
>>
Forester AWD F4-2.5L DOHC
>>
Repair and Diagnosis
>>
Maintenance
>>
Fluids
>>
Refrigerant
>>
Testing and Inspection
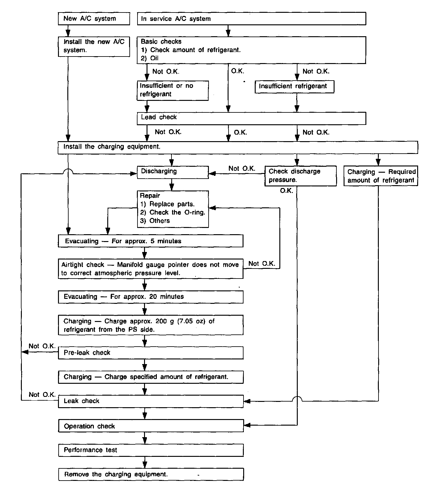
Refrigerant: Testing and Inspection
Refrigerant Service Procedure - Work Flow: