Curiosii for ever!: Car repair manuals for everyone.

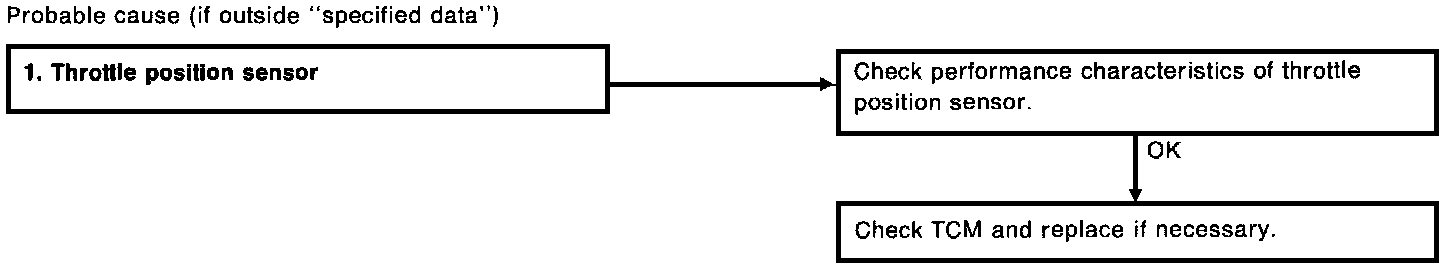
Mode F09, Throttle Position Sensor

MODE FO9 THROTTLE POSITION SENSOR (THV)





Condition
- Ignition Switch "ON" (with Engine "OFF")
- Measure voltage while operating Throttle Valve from a fully closed position to a fully open position.

Specified Data
- Fully closed position: 0.5 ± 0.2 Volts.
- Fully open position: 4.6 ± 0.2 Volts.
- From fully closed to fully open position: Voltage must smoothly decrease.
- Open harness: 5.0 ± 0.3 Volts.
- Shorted harness: 0.00 Volts.