Curiosii for ever!: Car repair manuals for everyone.

Mode F07, F08 ATF Temperature Sensor

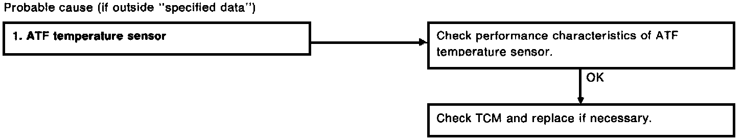
MODE F07 AUTOMATIC TRANSMISSION FLUID (ATF) TEMPERATURE SENSOR (ATFT)
FO8 = ATF temperature (ATFT) to be indicated in "deg C"






Condition
- Low ATF temperature (before Engine/vehicle starts.)
- High ATF temperature (after driving vehicle for warm-up.)

Specified Data
- Ambient temperature: ± 5O°F ( ± 1O°C) - (Low ATF temperature).
- ATF temperature: 158 - 230°F (70 - 110°C) - (High ATF temperature).
- Open harness: 176 deg F (80 deg C).
- Shorted harness: 320 deg F (160 deg C).