Curiosii for ever!
: Car repair manuals for everyone.
Home
>>
Subaru
>>
1996
>>
Legacy Wagon 4WD F4-2.2L SOHC
>>
Repair and Diagnosis
>>
Powertrain Management
>>
Transmission Control Systems
>>
Testing and Inspection
>>
Component Tests and General Diagnostics
>>
Diagnosis With Subaru Select Monitor
>>
Function Modes For A/T
>>
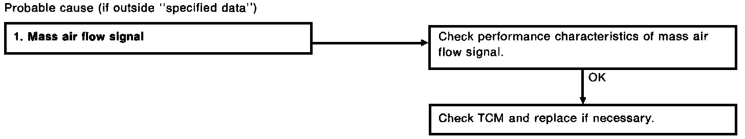
Mode F15, Mass Air Flow Signal
Mode F15, Mass Air Flow Signal
MODE F15 MASS AIR FLOW SIGNAL (AFM)
Condition
-
Ignition switch
"ON" (Engine "ON")
-
"N" range.
-
Idling.
Specified Data
Engine warm-up: 0.55 ± 0.25 Volts.