Curiosii for ever!: Car repair manuals for everyone.

Mode F02. F03 Vehicle Speed Sensor 1


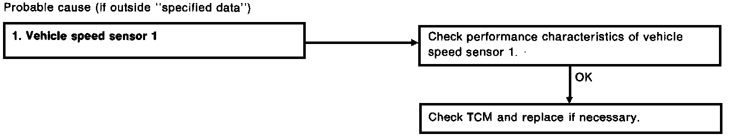
MODE F02 VEHICLE SPEED SENSOR 1 (VSP1)
FO3 = vehicle speed (VSP) to be indicated in "km/h"





Condition
Raise vehicle off ground and operate at constant speed.

Specified Data
Compare speedometer with monitor indications.