Curiosii for ever!
: Car repair manuals for everyone.
Home
>>
Subaru
>>
1996
>>
Legacy Wagon 4WD F4-2.2L SOHC
>>
Repair and Diagnosis
>>
Powertrain Management
>>
Transmission Control Systems
>>
Testing and Inspection
>>
Component Tests and General Diagnostics
>>
Diagnosis With Subaru Select Monitor
>>
Function Modes For A/T
>>
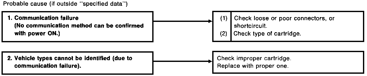
Mode F00, No Communication
Mode F00, No Communication
MODE FOO MODE DISPLAY
Specified Data
E-4AT
(F00)