Curiosii for ever!
: Car repair manuals for everyone.
Home
>>
Subaru
>>
1995
>>
Impreza Coupe AWD F4-2.2L SOHC
>>
Repair and Diagnosis
>>
Powertrain Management
>>
Computers and Control Systems
>>
Testing and Inspection
>>
Reading and Clearing Diagnostic Trouble Codes
>>
Reading Diagnostic Trouble Codes
>>
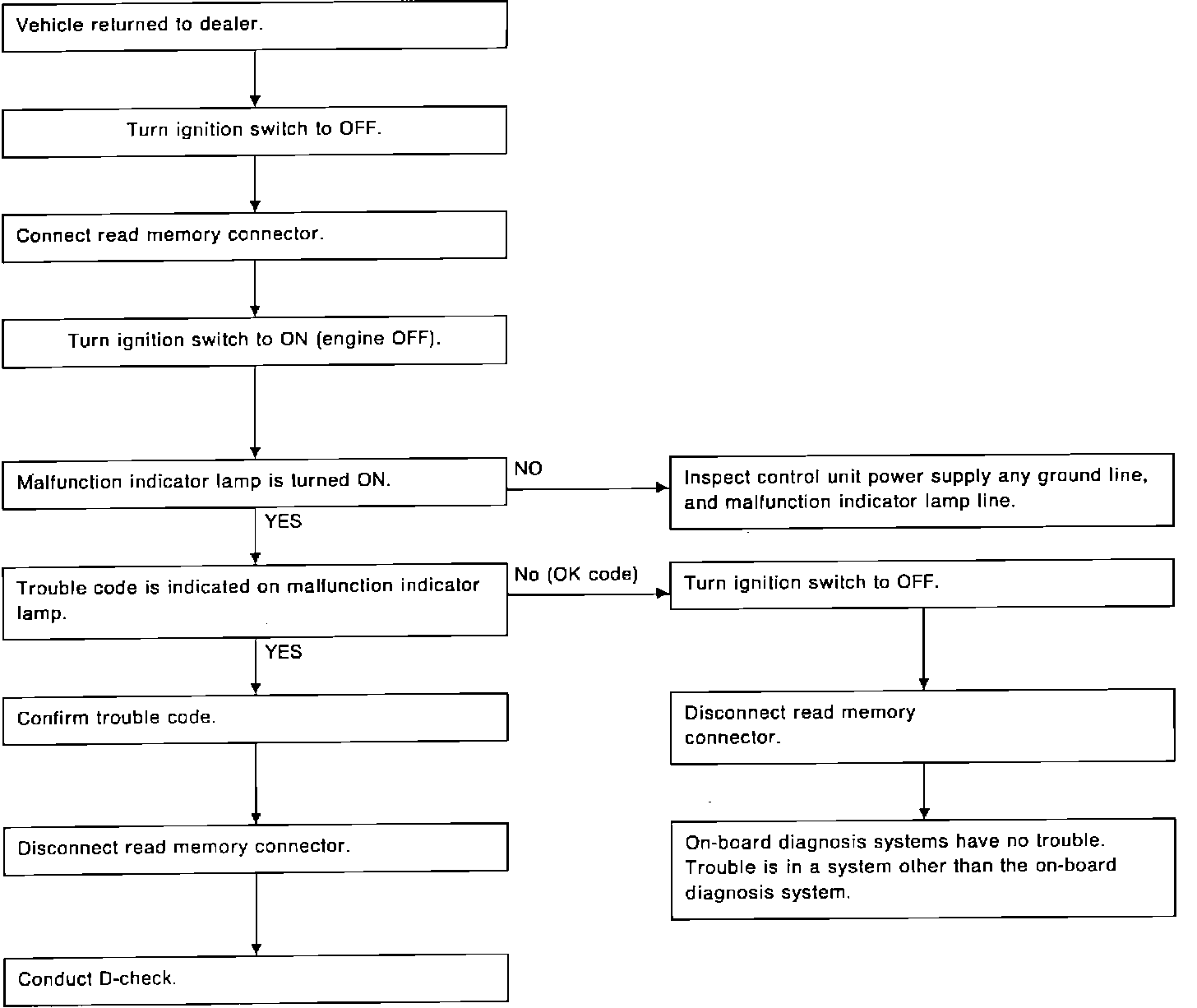
Extracting Codes From ECM Memory (Read Memory Mode)
Extracting Codes From ECM Memory (Read Memory Mode)
Read Memory Mode: