Curiosii for ever!
: Car repair manuals for everyone.
Home
>>
Subaru
>>
1994
>>
Justy Hatchback 2WD L3-1.2L SOHC (MPFI)
>>
Repair and Diagnosis
>>
Powertrain Management
>>
Transmission Control Systems
>>
Testing and Inspection
>>
Reading and Clearing Diagnostic Trouble Codes
>>
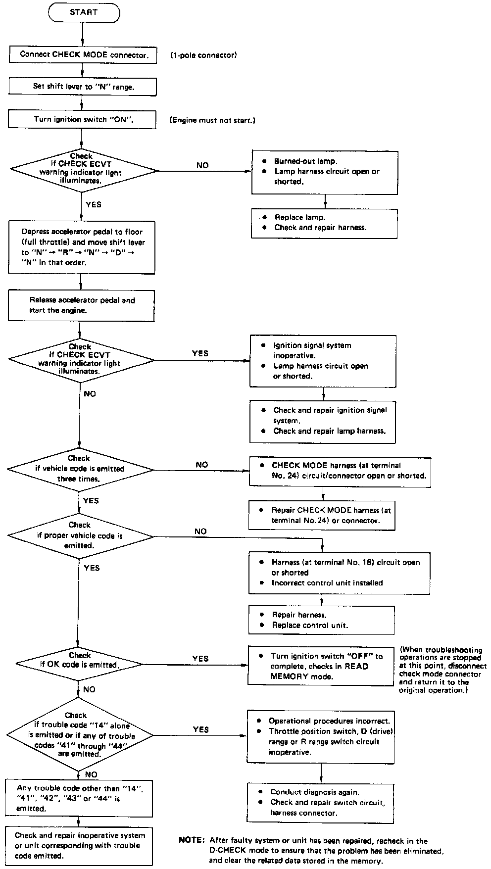
Read Memory Mode
Read Memory Mode
ECVT "Read Memory" Mode: