Curiosii for ever!: Car repair manuals for everyone.

Throttle Position Sensor: Testing and Inspection

Throttle Sensor Schematic:





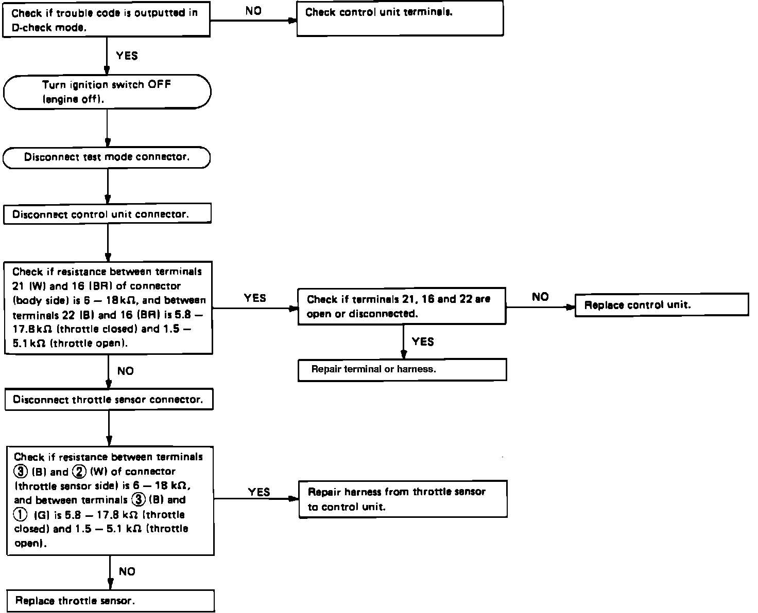
A faulty throttle sensor will set code 31 in the on-board diagnostic system. Refer to the schematic diagrams and test the sensor and switch with the diagnostic charts.

Wire color code identification:

L: Blue
B: Black
Y: Yellow
G: Green
R: Red
W: White
Br: Brown
Lg: Light green
Gr: Gray

Throttle Sensor Diagnostic Chart:





THROTTLE SENSOR DIAGNOSTIC CHART