Curiosii for ever!: Car repair manuals for everyone.

Mixture Control Solenoid: Testing and Inspection

Duty Solenoid Valve Schematic:





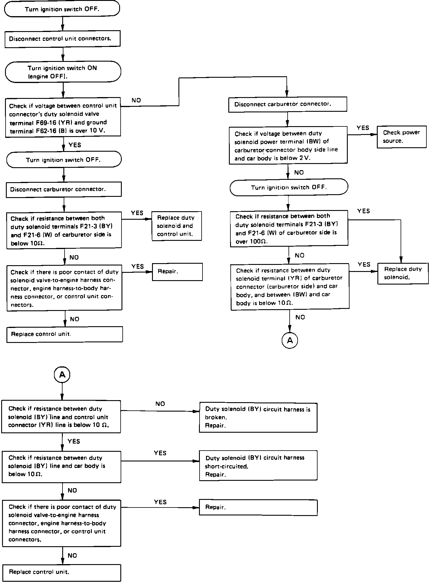
A faulty duty solenoid valve will set code 14 in the on-board diagnostic system. Refer to the schematic diagram and test the solenoid valve with the diagnostic chart.

Wire color code identification:

L: Blue
B: Black
Y: Yellow
G: Green
R: Red
W: White
Br: Brown
Lg: Light green
Gr: Gray

Duty Solenoid Valve Diagnostic Chart:





DUTY SOLENOID DIAGNOSTIC CHART