Curiosii for ever!: Car repair manuals for everyone.

Programming and Relearning

REGISTRATION

HINT:
- Register the recognition code when replacing the door control transmitter or the door control receiver.
- Add mode is used to register new recognition codes while still retaining codes already registered. This mode is used when a new transmitter is added. If the number of registered codes exceeds 4, the previously registered codes will be erased, starting from the first registered code.
- Rewrite mode is used to erase all the previously registered recognition codes in order to register all new recognition codes. This mode is used when the transmitter or the door control receiver is replaced.
- Confirmation mode is used to confirm how many recognition codes have already been registered before another registration code is registered.
- Prohibition mode is used to erase all the registered codes and disables the wireless door lock function. This mode is used when the transmitter is lost.
- All the following registration procedures must be performed in order.


Flow Chart Of Recognition Code Registration Part 1:




Flow Chart Of Recognition Code Registration Part 2:




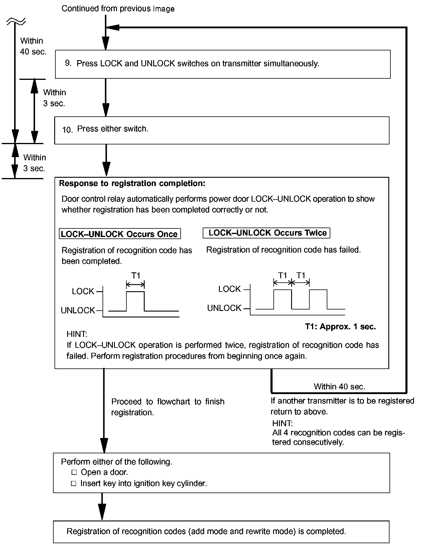
Flow Chart Of Recognition Code Registration Part 3:




Flow Chart Of Recognition Code Registration Part 4:




REGISTER RECOGNITION CODE