Curiosii for ever!: Car repair manuals for everyone.

Engine Controls - O2 Sensor Threshold Monitor Values: Overview

SPECIAL SERVICE TOOLS
SS002-03

December 17, 2003

Title
02S TEST RESULTS (MODE 05)

Models
All '96 - '03, '04 Corolla, ECHO, Matrix, Sienna & Scion xA and xB

Introduction

This Service Bulletin contains Oxygen Sensor (02S) Monitor threshold values for all models from 1996 to 2003 and some 2004 models. Starting in 2004, the 02S Monitor threshold values can be found in the repair manual. These values are used when analyzing the 02S test results to determine the 02S condition.

Applicable Vehicles
^ All 1996 - 2003 model year Toyota vehicles.
^ 2004 model year Corolla, ECHO, Matrix and Sienna vehicles.
^ 2004 model year Scion XA and xB vehicles.

Function Description

Checking 02S Test Results

To view 02S test results, the 02S Monitor must be completed and the test results must be checked within the same key cycle. If the ignition key is cycled OFF, the 02S test results will be set to the minimum or maximum limits, and all test results will be erased. The 02S test results are stored in the ECU (SAE term: Powertrain Control Module/PCM) when the monitor is completed. The test results are static and will not change once the monitor is complete.

The process for checking 02S test results is described in the following three basic steps:

1. Completing the 02S Readiness Monitor.

2. Accessing 02S Test Results.

3. Comparing 02S Test Results to Failure Thresholds.





Required SSTs

NOTE:
Additional Diagnostic Tester Kits, Program Cards or other SSTs may be ordered by calling SPX-OTC at 1-800-933-8335.





Warranty Information

Completing 02S

Readiness Monitor

1. Clear any stored Diagnostic Trouble Codes (DTCs) using the Toyota Diagnostic Tester.

2. Start the engine.





3. Perform the drive pattern shown to run and complete the Oxygen Sensor (02S) Monitor.

HINT:
The 02S Monitor is completed when the following conditions are met:

^ Two (2) minutes or more passed after the engine start.

^ The Engine Coolant Temperature (ECT) is 167°F (75°C) or more.

^ Cumulative running time at 30 mph (48 km/h) or more exceeds 6 minutes.

^ Vehicle is in closed loop.

^ The fuel-cut is operated for 8 seconds or more (for Rear 02S Monitor).

A. Allow the engine to idle for two minutes.

B. Warm up the engine until the Engine Coolant Temperature (ECT) reaches 167°F (75°C).

C. Drive the vehicle over 30 mph (48 km/h) for more than 40 seconds.

D. Stop the vehicle and allow the engine to idle for more than 20 seconds.

E. Repeat steps C and D at least 8 times in one driving cycle. (Do not cycle the ignition key.)

In addition, preform the following steps for the Rear 02S Readiness Monitor:

A. Select second gear.

B. Allow the vehicle to run at 30 mph (48 km/h) or more.

C. Keep the accelerator pedal "off-idle" for more than 10 seconds.

D. Immediately after step C, release the accelerator pedal for at least 10 seconds without depressing the brake pedal (to execute the fuel-cut).

E. Decelerate the vehicle until the vehicle speed reaches less than 6mph (10km/h).

F. Repeat steps B - E at least twice in one driving cycle.

Accessing 02S Test Results

1. On the Diagnostic Tester* screen, select the following menus:

^ DIAGNOSTICS

^ CARB OBD II

^ O2S TEST RESULTS

A list of the available oxygen sensors will be displayed.

2. Select the desired oxygen sensor and press Enter.





NOTE:
The monitor result of the A/F sensor will not be displayed. If you select "Bank 1-Sensor 1" or Bank 2-Sensor 1" for a vehicle equipped with an A/F sensor, the Diagnostic Tester will display "No parameter to display."





3. Compare the test results with the values listed in the Failure Threshold Chart.

* Although this procedure references the Toyota Diagnostic Tester, the 02S test results can be checked using a generic OBDII scantool. Refer to your OBDII scantool operator's manual for specific procedures.

Comparing 02S Test Results to Failure Thresholds

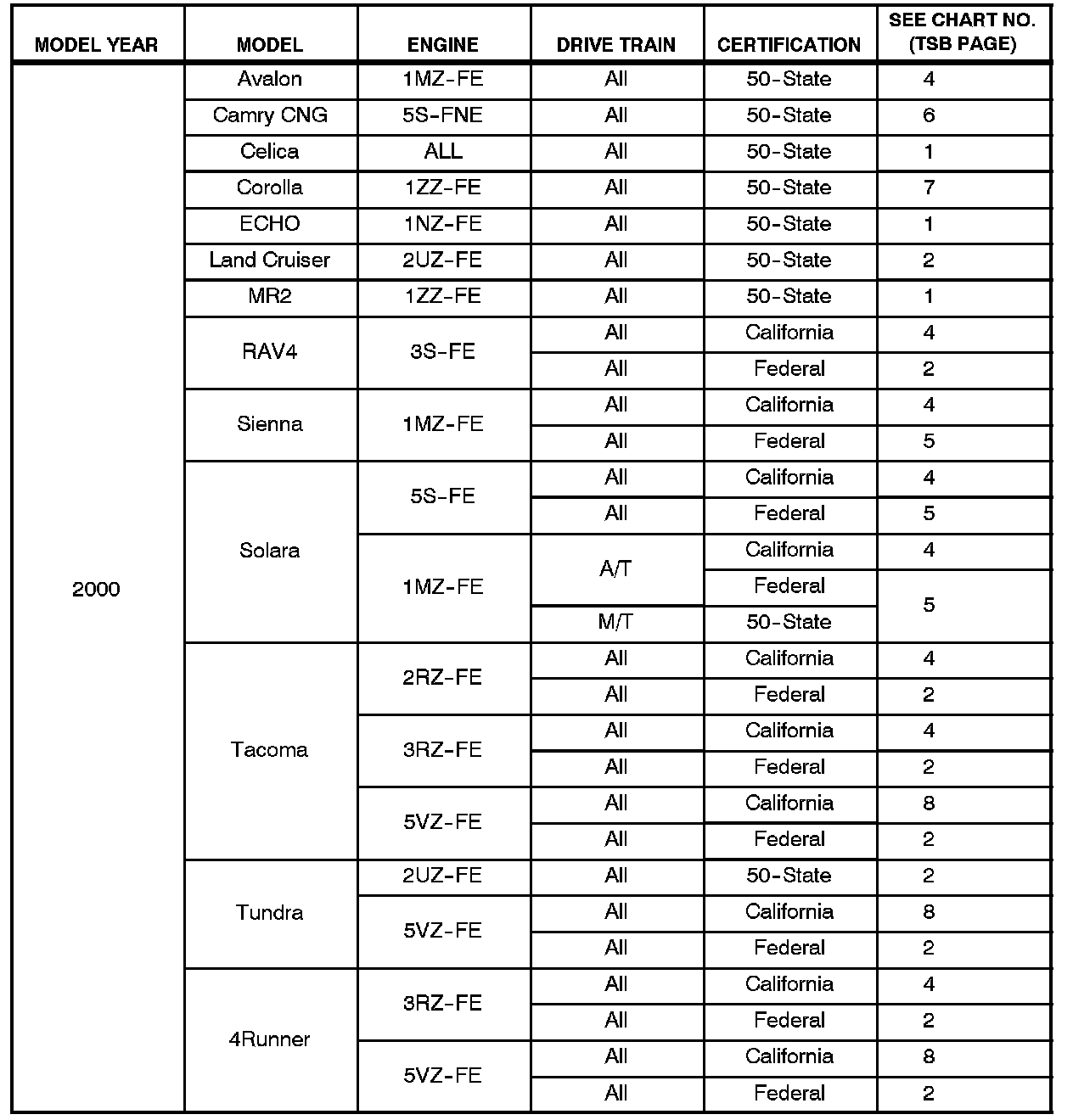
1. Determine the correct 02S Failure Threshold Chart for your vehicle by looking in the "02S Application Table," shown in this bulletin.

2. Select appropriate year, model, and engine for specified 02S Failure Threshold Chart.





3. Compare 02S test results with the specified 02S Failure Threshold Chart. It may be necessary to convert 02S test results to a specific measurement unit using the conversion factor that is supplied in the specified table. See example.

Example:

A. The Diagnostic Tester displays 17" as a value of the Time $81" (see illustration).





B. Find the Conversion Factor value of "Time $81"in the 02S Failure Threshold chart. 0.3906 is specified for Time $81 in this chart.

C. Multiply 17" in step A" by 0.3906 (Conversion Factor) in step "B." 17 x 0.3906 = 6.6%

D. If the answer is within the Standard Value of TEST LIMIT, the Time $81" can be confirmed to be normal.

NOTE:
^ "LOW SW V" indicates the 02S voltage when the 02S status changes from rich to lean.

^ "HIGH SW V" indicates the 02S voltage when the 02S status changes from lean to rich.

^ If the 02S voltage is lower than "LOW SW V" the 02S status is lean.

^ If the 02S voltage is higher than "HIGH SW V," the 02S status is rich.

NOTE:
Before the 02S Monitor completes or after the ignition switch is turned OFF, the Diagnostic Tester displays the viewable upper limit or a lower limit of the test value (example: 0 V, 1.275 V, 0s [seconds], 10.2s, 0 and 255).

















02S Application Table