Curiosii for ever!: Car repair manuals for everyone.

Scan Tool Data List - Powertrain System



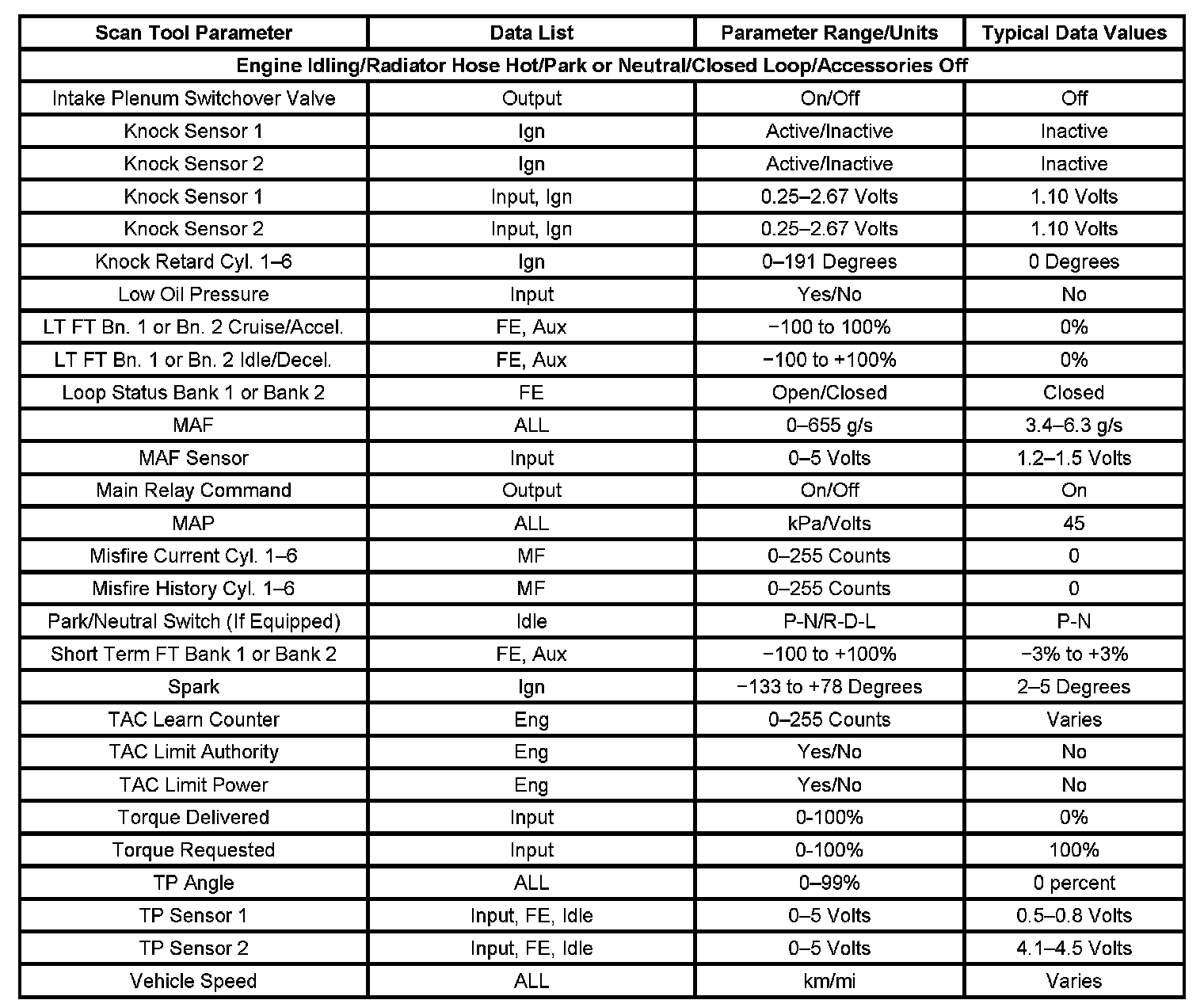
SCAN TOOL DATA LIST

Scan Tool Data List Part 1:




Scan Tool Data List Part 2:




The Engine Scan Tool Data List contains all engine related parameters that are available on the scan tool. The list is arranged in alphabetical order. A parameter may appear in any one of the data lists, and in some cases may appear more than once, or in more than one data list in order to group certain related parameters together.

Use the Engine Scan Tool Data List only after the following conditions are determined:
- The Diagnostic System Check-Computers and Control Systems is completed.
- There are no diagnostic trouble codes (DTCs).
- The On-Board diagnostics are functioning properly.

Scan tool values from a properly running engine may be used for comparison with the engine you are diagnosing. The Engine Scan Tool Data List represents the values that would be seen on a normal running engine.

IMPORTANT: Do not use a scan tool that displays faulty data. The scan tool concern should be reported to the manufacturer. Use of a faulty scan tool can result in misdiagnosis and in unnecessary parts replacement.

Only the parameters listed below are referenced for use in diagnosis. If all values are within the typical range described below, refer to Symptoms - Computers and Control Systems for diagnosis. Symptom Related Diagnostic Procedures

The column labeled Data List indicates where a parameter is located on the scan tool. Review the scan tool operating manual for the exact locations of the data lists. The following is a description of each term listed:

All: The Parameter is in all data lists indicated below.
Input: General Info-Inputs
Output: General Info-Outputs
FE: Fuel and Emissions
Ign: Ignition
MF: Misfire
Aux: Auxiliary Emissions
Idle: Idle/Speed Control
Eng: Engineering
FF: Freeze Frame Data List
FR: Failure Record Data List