Curiosii for ever!
: Car repair manuals for everyone.
Home
>>
Saturn Truck
>>
2009
>>
VUE FWD L4-2.4L Hybrid
>>
Repair and Diagnosis
>>
Specifications
>>
Electrical Specifications
>>
Computers and Control Systems
>>
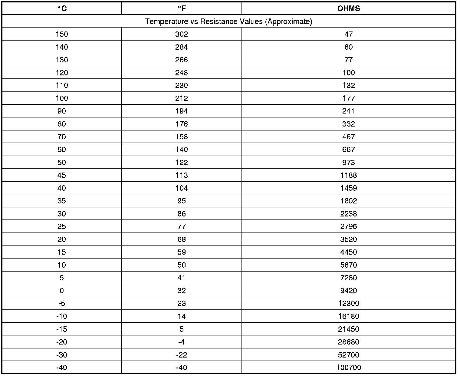
Temperature Versus Resistance
Temperature Versus Resistance
Temperature Versus Resistance