Curiosii for ever!
: Car repair manuals for everyone.
Home
>>
Saturn Truck
>>
2008
>>
VUE AWD V6-3.5L
>>
Repair and Diagnosis
>>
Specifications
>>
Electrical Specifications
>>
Computers and Control Systems
>>
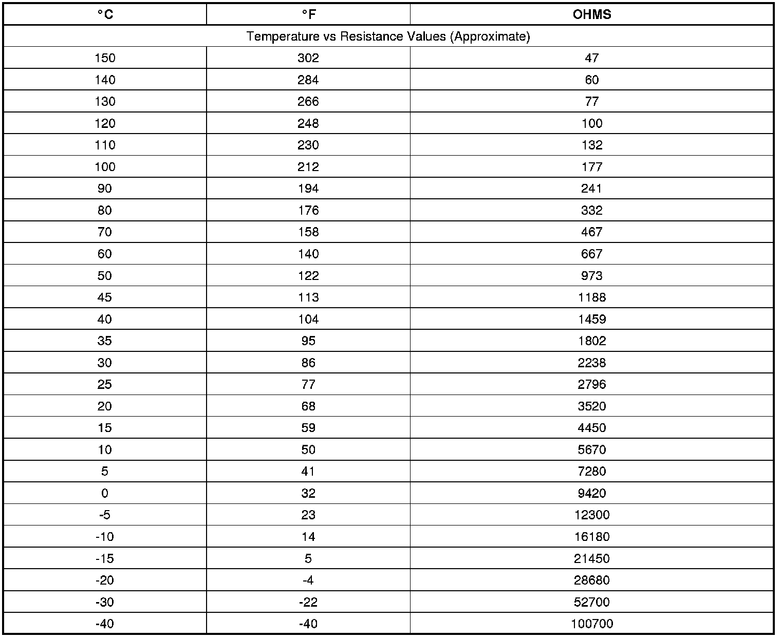
Temperature Versus Resistance
Temperature Versus Resistance
Temperature Versus Resistance